Errors and Approximations || V.S.A.Q’S||
Errors and approximations: These solutions were designed by the ‘Basics in Maths‘ team. These notes to do help intermediate First-year Maths students.
Inter Maths – 1B two mark questions and solutions are very useful in IPE examinations.
Errors and Approximations
Question 1
Find dy and ∆y for the following functions for the values of x and ∆x which are shown against each of the functions
(i) y = f(x) = x2 + x at x = 10 when ∆x = 0.1.
Sol:
Given y = f(x) = x2 + x at x = 10, ∆x = 0.1
∆y = f (x + ∆x) – f (x)
= f (10 + 0.1) – f (10)
= f (10.1) – f (10)
= (10. 1)2 + 10.1 – (102 + 10)
= 102.01 + 10.1 – 100 – 10
= 112.11 – 110
= 2.11
dy = f’ (x) ∆x
= (2x + 1) (0.1)
= [2(10) + 1] (0.1)
= 21 × 0.1
= 2.1
(ii) y = cos x at x = 600 with ∆x = 10 (10 = 0.0174 radians)
Sol:
Given y = cos x, x = 600 and ∆x = 10
∆y = f (x + ∆x) – f (x)
= cos (600 + 10) – cos 600
= cos (610) – 0.5
= 0.4848 – 0.5
= – 0.0152
dy = f’ (x) ∆x
= – sin x (10)
= – sin 600 × 0.0174
=– 0.8660 × 0.0174
= – 0.0150
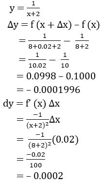
(iii) y = x2 + 3x + 6, x = 10 with ∆x = 0.01
Sol:
y = x2 + 3x + 6
∆y = f (x + ∆x) – f (x)
= f (10 + 0.01) – f (10)
= f (10.01) – f (10)
= (10.01)2 + 3 (10.01) + 6 – (102 + 3 (10) + 6)
= 100. 2001 + 30.03 + 6 – 100 – 30 – 6
=130. 2301 – 130
= 0.2301
dy = f’ (x) ∆x
= (2x + 3 + 0) (0.01)
= (2× 10 + 3) (0.01)
= 23 × 0.01
= 0.23
Sol:
Question 2
The side of a square is increased from 3cm to 3.01cm find the approximate increase in the area of the square.
Sol:
Let x be the side of the square and the area be A
Area of the square A = x2
x = 3 and ∆x = 0.01
∆A = 2x × ∆x
= 2(3) (0.01)
= 6 × 0.01
= 0.06
Question 3
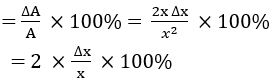
If an increase in the side of a square is 2% then find the approximate percentage of increase in its area.
Sol:
Let x be the side of the square and A be its area
A = x2
∆A = 2x × ∆x
The approximate percentage error in area A
= 2 × 2 =4
https://www.basicsinmaths.com/inter-mathematics-1a-and-1b-pdf-files/
Question 4
From the following. Find the approximations
Sol:
Let f(x) = , where x = 1000 and ∆x =– 1
Approximate value is
f (x + ∆x) = f(x) + f’ (x) ∆x
= 10 – 0. 0033
= 9.9967
Sol:
Sol:
(iv) Sin 620
Sol:
Let f(x) = sin x, where x = 600 and ∆x =20
Approximate value is
f (x + ∆x) = f(x) + f’ (x) ∆x
= sin 600 + cos x (20)
= sin 600+ cos 600 (0.0348)
= 0.8660 + 0.5 × 0.0348
= 0.8660 + 0.0174
=0.8834
Question 5
The radius of a sphere is measured as 14cm. Later it was found that there is an error of 0.02cm in measuring the radius. Find the approximate error in the surface area of the sphere.
Sol:
Given r = 14 cm and ∆r =0.02cm
Surface area of sphere =A = 4π r2
∆A = 8π r ∆r
= 8 ×3.14× 14 × 0.02
= 7.0336









