Limits V.S.A.Q’S
Limits (Q’s & Ans) || V.S.A.Q’S|| designed by the ‘Basics in Maths‘ team. These notes to do help the intermediate First-year Maths students.
Inter Maths – 1B two-mark questions and solutions are very useful in IPE examinations.
Limits
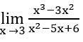
Question 1
Sol:
= 9
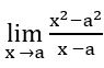
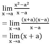
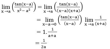
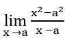
Question 2
Sol:
= a + a = 2a
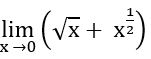
Question 3
Sol:
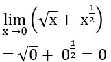
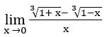
Question 4
Sol:
we know that if x > 0
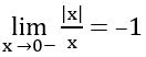
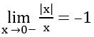
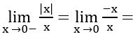
As x → 0+ ⟹ x > 0
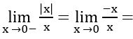
As x → 0+ ⟹ x < 0
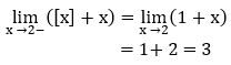
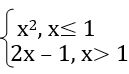
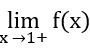
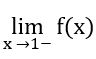
Question 5
If f (x) =
, then find
and
. Does
exist?
Sol:
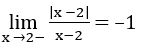
Question 6
Sol:
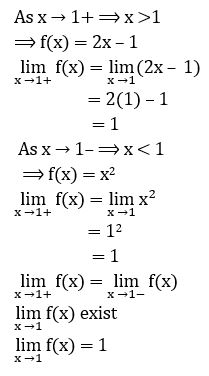
As x → 2– ⟹ x < 2
x – 2 < 0
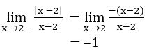
Question 7
Sol:
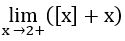
As x → 2+ ⟹ x > 2
As x → 2– ⟹ x < 2
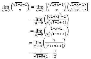
Question 8
Sol:
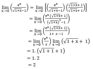
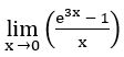
Question 9
Sol:
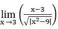
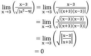
Question 10
Sol:
Question 11
Sol:
Question 12
Sol:
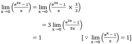
Question 13
Sol:
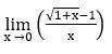
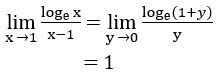
let y = x – 1 ⟹ x = y + 1
then as x → 1, y → 0
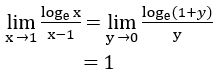
Question 14
Sol:
Question 15
Sol:
https://www.basicsinmaths.com/inter-mathematics-1a-and-1b-pdf-files/
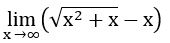
Question 16
Sol:
As x → ∞, →0
= ∞ (3/4)
= ∞
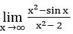
Question 17
Sol:
We know that – 1 ≤ sin x ≤ 1
x2 – 1 ≤ x2 – sin x ≤ x2 + 1
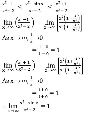
Question 18
Sol:
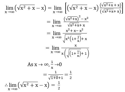
Question 19
Sol:
Question 20
Sol:
Question 21
Sol:
Question 22
Sol:
Question 23
Sol:
Visit my YouTube channel: Click on the Logo












































