Polytechnic Sem 1 – Engineering Mathematics
Polytechnic Sem 1 – Notes for Polytechnic SEM – 1 is Designed by the ” Basics in Maths” team. Here we can learn Concepts in Basic Engineering mathematics at Polytechnic Sem – I.
This Material is very Useful for Basic Engineering Mathematics Polytechnic Sem – I Students.
By learning These Notes, Basic Engineering Mathematics Polytechnic Sem – I Students can Write their Exam successfully and fearlessly.
LOGARITHMS
Logarithm: For ant two positive real numbers a, b, and a ≠ 1. If the real number x such then ax = b, then x is called logarithm of b to the base a. it is denoted by ![]()
Standard formulae of logarithms:
Logarithmic Function:
Let a be a positive real number and a ≠ 1. The function f: (o, ∞) → R Defined by f(x) = ![]()
PARTIAL FRACTIONS
Fractions:
If f(x) and g(x) are two polynomials, g(x) ≠ 0, then
is called rational fraction.
Ex:
Proper Fraction:
A rational fraction
is said to be a Proper fraction if the degree of g(x) is greater than the degree of f(x).
Ex:
etc. are the proper fractions.
Improper Fraction:
A rational fraction
is said to be an Improper fraction if the degree of g(x) is less than the degree of f(x).
Ex:
etc. are the Improper fractions.
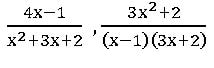
Partial Fractions:
Expressing rational fractions as the sum of two or more simpler fractions is called resolving a given fraction into a partial fraction.
∎ If R(x) =
is proper fraction, then
Case(i): – For every factor of g(x) of the form (ax + b) n, there will be a sum of n partial fractions of the form:
Case(ii): – For every factor of g(x) of the form (ax2 + bx + c) n, there will be a sum of n partial fractions of the form:
∎ If R(x) =
is improper fraction, then
Case (i): – If degree f(x) = degree of g(x),
where k is the quotient of the highest degree term of f(x) and g(x).
Case (ii): – If f(x) > g(x)
MATRICES AND DETERMINANTS
Matrix: A set of numbers arranged in the form of a rectangular array having rows and columns is called Matrix.
•Matrices are generally enclosed by brackets like
•Matrices are denoted by capital letters A, B, C, and so on
•Elements in a matrix are real or complex numbers; real or complex real-valued functions.
Oder of Matrix: A matrix having ‘m’ rows and ‘n’ columns is said to be of order m x n read as m by n.
Ex:
Types Of Matrices
Rectangular Matrix: A matrix in which the no. of rows is not equal to the no. of columns is called a rectangular matrix.
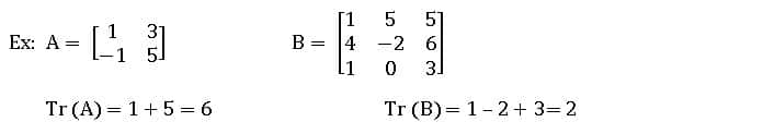
Square Matrix: A matrix in which the no. of rows is equal to no. of columns is called a square matrix.
Principal diagonal (diagonal) Matrix: If A = [a ij] is a square matrix of order ‘n’ the elements a11, a22, a33, ………. An n is said to constitute its principal diagonal.
Trace Matrix: The sum of the elements of the principal diagonal of a square matrix A is called the trace of the matrix. It is denoted by Tr (A).
Diagonal Matrix: If each non-diagonal element of a square matrix is ‘zero’ then the matrix is called a diagonal matrix.
Scalar Matrix: If each non-diagonal element of a square matrix is ‘zero’ and all diagonal elements are equal to each other, then it is called a scalar matrix.
Identity Matrix or Unit Matrix: If each of the non-diagonal elements of a square matrix is ‘zero’ and all diagonal elements are equal to ‘1’, then that matrix is called unit matrix
Null Matrix or Zero Matrix: If each element of a matrix is zero, then it is called a null matrix.
Row matrix & column Matrix: A matrix with only one row s called a row matrix and a matrix with only one column is called a column matrix.
Triangular matrices:
A square matrix A = [aij] is said to be upper triangular if aij = 0 ∀ i > j
A square matrix A = [aij] is said to be lower triangular matrix aij = 0 ∀ i < j
Equality of matrices:
matrices A and B are said to be equal if A and B are of the same order and the corresponding elements of A and B are equal.

Addition of matrices:
If A and B are two matrices of the same order, then the matrix obtained by adding the corresponding elements of A and B is called the sum of A and B. It is denoted by A + B.
Subtraction of matrices:
If A and B are two matrices of the same order, then the matrix obtained by subtracting the corresponding elements of A and B is called the difference from A to B.
Product of Matrices:
Let A = [aik]mxn and B = [bkj]nxp be two matrices, then the matrix C = [cij]mxp where
Note: Matrix multiplication of two matrices is possible when no. of columns of the first matrix is equal to no. of rows of the second matrix.
A m x n . Bp x q = AB mx q; n = p
Transpose of Matrix: If A = [aij] is an m x n matrix, then the matrix obtained by interchanging the rows and columns is called the transpose of A. It is denoted by AI or AT.
Note: (i) (AI)I = A (ii) (k AI) = k . AI (iii) (A + B )T = AT + BT (iv) (AB)T = BTAT
Symmetric Matrix: A square matrix A is said to be symmetric if AT =A
If A is a symmetric matrix, then A + AT is symmetric.
Skew-Symmetric Matrix: A square matrix A is said to be skew-symmetric if AT = -A
If A is a skew-symmetric matrix, then A – AT is skew-symmetric.
Minor of an element: Consider a square matrix 
the minor element in this matrix is defined as the determinant of the 2×2 matrix obtained after deleting the rows and the columns in which the element is present.
Ex: – minor of a3 is
= b1c2 – b2c1
Cofactor of an element: The cofactor of an element in i th row and j th column of A3×3 matrix is defined as its minor multiplied by (- 1) i+j.
Properties of determinants:
If each element of a row (column) f a square matrix is zero, then the determinant of that matrix is zero.
If A is a square matrix of order 3 and k is scalar then.
If two rows (columns) of a square matrix are identical (same), then Det. Of that matrix is zero.
If each element in a row (column) of a square matrix is the sum of two numbers then its determinant can be expressed as the sum of the determinants.
If each element of a square matrix are polynomials in x and its determinant is zero when x = a, then (x-a) is a factor of that matrix.
For any square matrix A Det(A) = Det (AI).
Det (AB) = Det(A). Det(B).
For any positive integer n Det (An) = (DetA)n.
Singular and non-singular matrices:
A Square matrix is said to be singular if its determinant is is zero, otherwise it is said to be non-singular matrix.
∴ A is singular matrix
Det(B) = 4 + 4 = 8≠ 0
∴ B is non-singular
Adjoint of a matrix: The transpose of the matrix formed by replacing the elements of a square matrix A with the corresponding cofactors is called the adjoint of A.
Let A =
and cofactor matrix of A = 
Invertible matrix: Let A be a square matrix, we say that A is invertible if there exists a matrix B such that AB =BA = I, where I is a unit matrix of the same order as A and B.
Compound Angles
The algebraic sum of two or more angles is called a ‘compound angle’. Thus, angles A + B, A – B, A + B + C etc., are Compound Angles
For any two real numbers A and B
⋇ sin (A + B) = sin A cos B + cos A Cos B
⋇ sin (A − B) = sin A cos B − cos A Cos B
⋇ cos (A + B) = cos A cos B − sin A sin B
⋇ cos (A − B) = cos A cos B + sin A sin B
⋇ sin (A + B + C) = ∑sin A cos B cos C − sin A sin B sin C
⋇ cos (A + B + C) = cos A cos B cos C− ∑cos A sin B sin C
⋇ sin (A + B) sin (A – B) = sin2 A – sin2 B = cos2 B – cos2 A
⋇ cos (A + B) cos (A – B) = cos2 A – sin2 B = cos2 B – sin2 A
Multiple and Sub Multiple Angles
If A is an angle, then its integral multiples 2A, 3A, 4A, … are called ‘multiple angles ‘of A and the multiple of A by fraction like are called ‘submultiple angles.
∎ If
is not an add multiple of ![]()
PROPERTIES OF TRIANGLES
In ∆ABC,
Lengths AB = c; BC = a; AC =b
The area of the triangle is denoted by ∆.
Perimeter of the triangle = 2s = a + b + c
A = ∠CAB; B = ∠ABC; C = ∠BCA.
R is circumradius.
Sine rule:
In ∆ABC,
⟹ a = 2R sin A; b = 2R sin B; c = 2R sin C
Where R is the circumradius and a, b, c, are lengths of the sides of ∆ABC.
Cosine rule:
In ∆ABC,
Projection rule:
In ∆ABC,
a = b cos C + c cos B
b = a cos C + c cos A
c = a cos B + b cos A
Tangent rule (Napier’s analogy):
Area of the triangle:
In ∆ABC, a, b, and c are sides
HYPERBOLIC FUNCTIONS
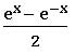
⨂ The function f: R→R defined by f(x) =
∀ x ∈ R is called the ‘hyperbolic sin’ function. It is denoted by Sinh x.
Similarly,
Identities:
⨂ cosh2x – sinh2 x = 1
cosh2x = 1 + sinh2 x
sinh2 x = cosh2 x – 1
⨂ sech2 x = 1 – tanh2 x
tanh2 x = 1 – sesh2 x
⨂ cosech2 x = coth2 x – 1
coth2 x = 1 + coth2 x
Addition formulas of hyperbolic functions:
⨂ Sinh (x + y) = Sinh x Cosh y + Cosh x Sinh y
⨂ Sinh (x − y) = Sinh x Cosh y − Cosh x Sinh y
⨂ Cosh (x + y) = Cosh x Cosh y + Sinh x Sinh y
⨂ Cosh (x − y) = Cosh x Cosh y − Sinh x Sinh y
⨂ sinh 2x = 2 sinh x cosh 2x =
⨂ cosh 2x = cosh2x + sinh2 x = 2 cosh2x – 1 = 1 + 2 sinh2x =![]()
Inverse hyperbolic functions:
COMPLEX NUMBERS
The equation x2 + 1 = 0 has no roots in real number system.
∴ scientists imagined a number ‘i’ such that i2 = − 1.
Complex number:
if x, y are any two real numbers then the general form of the complex number is
z = x + i y; where x real part and y is the imaginary part.
3 + 4i, 2 – 5i, – 3 + 2i are the examples for Complex numbers.
- z = x +i y can be written as (x, y).
- If z1 = x1 + i y1, z2 = x2 + i y2, then
- z1 + z2 = (x1 + x2, y1 + y2) = (x1 + x2) + i (y1 + y2)
- z1 − z2 = (x1 − x2, y1 − y2) = (x1 − x2) + i (y1 − y2)
- z1∙ z2 = (x1 x2 −y1 y2, x1y2 + x2y1) = (x1x2 −y1 y2) + i (x1y2 +x2 y1)
- z1/ z2 = (x1x2 + y1 y2/x22 +y22, x2 y1 – x1y2/ x22 +y22)
= (x1x2 + y1 y2/x22 +y22) + i (x2 y1 – x1y2/ x22 +y22)
Multiplicative inverse of complex number:
The multiplicative inverse of the complex number z is 1/z.
z = x + i y then 1/z = x – i y/ x2 + y2
Conjugate complex numbers:
The complex numbers x + i y, x – i y are called conjugate complex numbers.
The sum and product of two conjugate complex numbers are real.
If z1, z2 are two complex numbers then
Modulus and amplitude of complex numbers:
Modulus: – If z = x + i y, then the non-negative real number
is called modulus of z and it is denoted by
or ‘r’.
Amplitude: – The complex number z = x + i y represented by the point P (x, y) on the XOY plane. ∠XOP = θ is called amplitude of z or argument of z.
x = r cos θ, y = r sin θ
x2 + y2 = r2 cos2θ + r2 sin2θ = r2 (cos2θ + sin2θ) = r2(1)
⇒ x2 + y2 = r2
• Arg (z) = tan−1(y/x)
• Arg (z1.z2) = Arg (z1) + Arg (z2) + nπ for some n ∈ { −1, 0, 1}
• Arg(z1/z2) = Arg (z1) − Arg (z2) + nπ for some n ∈ { −1, 0, 1}
Note:
∎ eiθ = cos θ + i sin θ
∎ e−iθ = cos θ − i sin θ
De-Moiver’s theorem
For any integer n and real number θ, (cos θ + i sin θ) n = cos n θ + i sin n θ.
→ cos α + i sin α can be written as cis α
→ cis α.cis β= cis (α + β)
→ 1/cisα = cis(-α)
→ cisα/cisβ = cis (α – β)
⟹ (cos θ + i sin θ) -n = cos n θ – i sin n θ
⟹ (cos θ + i sin θ) (cos θ – i sin θ) = cos2θ – i2 sin2θ = cos2θ + sin2θ = 1.
→ cos θ + i sin θ = 1/ cos θ – i sin θ and cos θ – i sin θ = 1/ cos θ + i sin θ
⟹ (cos θ – i sin θ) n = (1/ (cos θ –+i sin θ)) n = (cos θ + i sin θ)-n = cos n θ – i sin n θ
nth root of a complex number: let n be a positive integer and z0 ≠ 0 be a given complex number. Any complex number z satisfying z n = z0 is called an nth root of z0. It is denoted by z01/n or![]()
⟹ let z = r (cos θ + i sin θ) ≠ 0 and n be a positive integer. For k∈ {0, 1, 2, 3…, (n – 1)}
let
Then a0, a1, a2, …, an-1 are all n distinct nth roots of z and any nth root of z is coincided with one of them.
nth root of unity: Let n be a positive integer greater than 1 and
Note:
- The sum of the nth roots of unity is zero.
- The product of nth roots of unity is (– 1) n – 1.
- The nth roots of unity 1, ω, ω2, …, ωn-1 are in geometric progression with common ratio ω.
Cube root of unity:
x3 – 1 = 0 ⇒ x3 = 1
x =11/3
ω2 +ω + 1 = 0 and ω3 = 1
TRANSFORMATIONS
For A, B∈ R
⋇ sin (A + B) + sin (A – B) = 2sin A cos B
⋇ sin (A + B) −sin (A – B) = 2cos A sin B
⋇ cos (A + B) + cos (A – B) = 2 cos A cos B
⋇ cos (A + B) − cos (A – B) = − 2sin A sin B
For any two real numbers C and D
If A + B + C = π or 1800, then
⋇ sin (A + B) = sin C; sin (B + C) = sin A; sin (A + C) = sin B
⋇ cos (A + B) = − cos C; cos (B + C) = −cos A; cos (A + C) = − cos B
⋇ sin
= cos
; sin
= cos
; sin
= cos![]()
⋇ cos
= sin
; cos
= sin
; cos
= sin![]()
⋇ sin (A + B) = cos C; sin (B + C) = cos A; sin (A + C) = cos B
⋇ cos (A + B) = sin C; cos (B + C) = sin A; cos (A + C) = sin B
Polytechnic Sem 1
INVERSE TRIGONOMETRIC RATIOS
If A, B are two sets and f: A→ B is a bijection, then f-1 is existing and f-1: B → A is an inverse function.
Properties of Inverse Trigonometric functions:
Engineering Mathematics
Solutions of Simultaneous Equations
Matrix Inversion Method:
Let a system of simultaneous equations be
a1 x + b1 y + c1z = d1
a2 x + b2 y + c2z = d2
a3 x + b3 y + c3z = d3
The matrix form of the above equations is
Therefore, the matrix equation is AX = B
If Det A ≠ 0, A-1 is exists
X = A-1 B
By using above Condition, we get the values of x, y and z
This method is called as Matrix Inversion Method
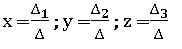
Cramer’s Method:
Let a system of simultaneous equations be
a1 x + b1 y + c1z = d1
a2 x + b2 y + c2z = d2
a3 x + b3 y + c3z = d3
∆1 is obtained by replacing the coefficients of x (1st column elements of ∆) by constant values
∆2 is obtained by replacing the coefficients of y (2nd column elements of ∆) by constant values
∆3 is obtained by replacing the coefficients of z (3rd column elements of ∆) by constant values
This method is called Cramer’s Method
Gauss-Jordan Method:
Let a system of simultaneous equations be
a1 x + b1 y + c1z = d1
a2 x + b2 y + c2z = d2
a3 x + b3 y + c3z = d3
Augmented matrix: The coefficient matrix (A) augmented with the constant column matrix (B) is called the augmented matrix. It is denoted by [AD].
This Matrix is reduced to the standard form of
by using row operations
- Interchanging any two rows
- Multiplying the elements of any two elements by a constant.
- Adding to the elements of one row with the corresponding elements of another row multiplied by a constant.
∴ The solution of a given system of simultaneous equations is x = α, y = β, and z = γ.
Procedure to get the standard form:
- Take the coefficient of x as the unity as a first equation.
- If 1 is there in the first-row first column, then make the remaining two elements in the first column zero.
- After that, if one element in R2 or R3 is 1, then make the remaining two elements in that column C2 or C3 as zeroes.
- If any row contains two elements as zeros and only non-zero divide that row elements with the non-zero element to get unity and make the remaining two elements in that column as zeros.
Engineering Mathematics
PDF FILE: Mathematics Notes 4 Polytechnic SEM – I



































































