Real Numbers
Real Numbers
1. Insert 4 rational numbers between 1 and
without using formula 
Sol: we have to insert 4 rational numbers between 1 and
and 1
4 +1 = 5
1 can be written as ![]()
Lcm of (4, 5) = 20

2. The prime factorisation of a natural number (n) is 23 × 32 × 52 × 7. How many consecutive zeros will it have at the end of it? Justify your answer.
Sol:
n = 23 × 32 × 52 × 7
= 2 × 22 × 32 × 52 × 7
= 2 × 32 × 7 (52 × 22)
= 2 × 32 × 7 × (10)2 = 12600
∴ n has 2 consecutive zeros at the end
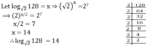
3. Find the value of ![]()
Sol:

4. Write any two irrational numbers between 3 and 4
Sol:

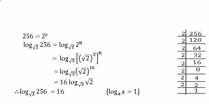
5. Find the value of ![]()
6. Find the HCF and LCM of 90, 144 by using the prime factorisation method
Sol:

7. Is
rational or irrational? justify your answer
Sol:

8. Expand ![]()
Sol:

9. Find the HCF of 24 and 33 by using division method
Sol:
33 > 24
33 = 24 × 1 + 9
24 = 9 × 2 + 6
9 = 6 × 1 + 3
6 = 3 × 2 + 0
∴ HCF of 24 and 33 = 3
10. Find the value of ![]()
Sol:

11. Ramu says, “if
= 0, the value of x is 0”. Do you agree with him? Give reason.
Sol:

Real Numbers
1. Write any three numbers of two digits. Find the LCM and HCF for the above numbers by the prime factorisation method.
Sol: let 10, 12, 16 be three two-digit numbers
Prime factarisation of 10 = 2 × 5 = 21× 51
Prime factarisation of 12 = 2 × 2× 3 = 22 × 3
Prime factarisation of 16 = 2 × 2× 2× 2 = 24
HCF of 10, 12 and 16 = 21 = 2
LCM of 10, 12 and 16 = 24 × 3× 5 = 8 × 3× 5 = 120
2. Give an example for each of the following
(i) The product of two irrational numbers is a rational number
(ii) The product of two irrational numbers is an irrational number
Sol:

3. State with reasons which of the following are rational numbers and which are irrational numbers

4. Expand 

Visit My Youtube Channel: Click on below logo


1. Insert 4 rational numbers between 1 and 
1. Write any three numbers of two digits. Find the LCM and HCF for the above numbers by the prime factorisation method.

