Product of Vectors (Qns.& Ans) V.S.A.Q.’S
Product of Vectors (Qns.& Ans) V.S.A.Q.’S; These solutions were designed by the ‘Basics in Maths‘ team. These notes to do help intermediate First-year Maths students.
Inter Maths – 1A two marks questions and solutions are very useful in IPE examinations.
Product Of Vectors
Question 1
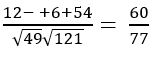
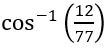
If a = 6i +2 j +3 k, b = 2i – 9 j+ 6k, then find the angle between the vectors a and b
Sol:
Given vectors are a = 6i +2 j +3 k, b = 2i – 9 j+ 6k
If θ is the angle between the vectors
a and b, then cos θ =
a .b = (6i +2 j +3 k). (2i – 9 j+ 6k) = 6(2) + 2 (– 9) + 3(6)
= 12 – 18 + 18 = 12
= 7
= 11
Question 2
If a = i +2 j –3 k, b = 3i – j+ 2k, then show that a + b and a – b are perpendicular to each other.
Sol:
Given vectors are a = i +2 j –3 k, b = 3i – j+ 2k
a + b = (i +2 j –3 k) + (3i – j+ 2k) = 4i + j – k
a – b = (i +2 j –3 k) – (3i – j+ 2k) = –2i +3 j – 5k
(a + b). (a – b) = (4i + j – k). (–2i +3 j – 5k)
= – 8 + 3 + 5
= 0
∴ a + b and a – b is perpendicular to each other.
Question 3
If a and b be non-zero, non-collinear vectors. If , then find the angle between a and b
Sol:
Squaring on both sides
(a + b) (a + b) = (a – b) (a – b)
a2 + 2 a. b + b2 = a2 – 2 a.b + b2
⟹ 4 a.b = 0
a.b = 0
∴ the angle between a and b is 900
Question 4
If
= 11,
= 23 and
= 30, then find the angle between the vectors a and b and also find
Sol:
(11)2 – 2 ×11×23 cos θ + (23)2 = 900
121 – 506 cos θ + 529 = 900
650 – 506 cos θ = 900
= (11)2 + 2 ×11×23 cos θ + (23)2
= 121 + 2 ×11×23 × + 529
= 400
Question 5
If a = i – j – k and b = 2i – 3j + k, then find the projection vector of b on a and its magnitude.
Sol:
Given vectors are a = i – j – k and b = 2i – 3j + k
a.b = (i – j – k). (2i – 3j + k) = 2 + 3 – 1 = 4
The projection vector of b on a =
The magnitude of the projection vector =
=![]()
Question 6
If the vectors λ i – 3j + 5k and 2λ i – λ j – k are perpendicular to each other, then find λ
Sol:
let a = λ i – 3j + 5k, b = 2λ i – λ j – k
Given, that a and b are perpendicular to each other
⟹ a.b = 0
(λ i – 3j + 5k). (2λ i – λ j – k) = 0
2 λ2 + 3 λ – 5 = 0
2 λ2 + 5 λ – 2 λ – 5 = 0
λ (2 λ + 5) – 1 (2 λ + 5) = 0
(2 λ + 5) ((λ – 1) = 0
λ = 1 or λ = -5/2
Question 7
Find the Cartesian equation of the plane passing through the point (– 2, 1, 3) and perpendicular to the vector 3i + j + 5k
Sol:
let P (x, y, z) be any point on the plane
⟹ OP = xi + yj + zk
OA = – 2i +j +3k
AP = OP – OA = (xi + yj + zk) – (– 2i +j +3k)
AP = (x + 2) i + (y – 1) j + (z – 3) k
AP is perpendicular to the vector 3i + j + 5k
⟹ 3 (x + 2) + (y – 1) + 5(z – 3) = 0
⟹ 3x + 6 + y – 1 + 5z – 15 = 0
∴ 3x + y + 5z – 10 = 0 is the required Cartesian equation of the plane
Question 8
Find the angle between the planes 2x – 3y – 6z = 5 and 6x + 2y – 9z = 4
Sol:
Given plane equations are: 2x – 3y – 6z = 5,6x + 2y – 9z = 4
Vector equations of the above planes are: r. (2i – 3j – 6k) = 5 and r. (6i + 2j – 9k) = 4
⟹ n1 = 2i – 3j – 6k and n2 = 6i + 2j – 9k
If θ is the angle between the planes r. n1 = d1 and r. n2 = d2, then
Question 9
a = 2i – j + k, b = i – 3j – 5k. Find the vector c such that a, b, and c form the sides of a triangle.
Sol:
Given a = 2i – j + k, b = i – 3j – 5k
If a, b, and c form the sides of a triangle, then a + b + c = 0
⟹ a + b = – c
⟹ c = – (a + b)
= – [(2i – j + k) +( i – 3j – 5k)]
= – (3i –4 j –4k)
∴ c = – 3i +4 j + 4k
Question 10
Find the equation of the plane through the point (3, –2, 1) and perpendicular to the vector (4, 7, –4).
Sol:
Let a = 3i – 2j + k and n = 4i + 7j – 4k
The equation of the plane passing through point A(a) and perpendicular to the vector n is (r – a). n = 0
⟹ [r – (3i – 2j + k)]. (4i + 7j – 4k) = 0
⟹ r. (4i + 7j – 4k)– [(3i – 2j + k). (4i + 7j – 4k)] = 0
r. (4i + 7j – 4k)– (12 – 14 – 4) = 0
r. (4i + 7j – 4k)– 6 = 0
r. (4i + 7j – 4k) = 6
Question 11
Find the unit vector parallel to the XOY-plane and perpendicular to the vector 4i – 3j + k
Sol:
The vector which is parallel to the XOY-plane is of the form xi + yj
The vector which is parallel to the XOY-plane and perpendicular to 4i – 3j + k
is 3i + 4j
∴ The unit vector parallel to the XOY-plane and perpendicular to the vector 4i – 3j + k =![]()
Question 12
If a + b + c = 0,
= 3,
= 5 and
= 7, then find the angle between a and b
Sol:
Given, a + b + c = 0, = 3, = 5 and = 7
a + b = – c
32 + 52 + 2 cos θ = 72
9 + 25 + 2.3.5 cos θ = 49
34 + 30cos θ = 49
30cos θ = 49 – 34
30cos θ = 15
cos θ = 15/30 = 1/2
∴ θ = π/3
Question 13
If a = 2i – 3j + 5k, b = – i + 4j + 2k, then find a × b and unit vector perpendicular to both a and b
Sol:
Given, a = 2i – 3j + 5k, b = – i + 4j + 2k
= i (–6 – 20) – j (4 + 5) + k (8 – 3)
= –26i – 9j + 5k
The unit vector perpendicular to both a and b = 
Question 14
If a = i + j + 2k and b = 3i + 5j – k are two sides of a triangle, then find its area.
Sol:
Given, a = i + 2j + 3k and b = 3i + 5j – k
If a, b are two sides of a triangle, then area of the triangle =
= i (–2 – 15) – j (–1 – 9) + k (5 – 6)
= –17i + 10 j – k
Question 15
Find the area of the parallelogram for which the vectors a = 2i – 3j and b = 3i – k are adjacent sides.
Sol:
Given, a = 2i – 3j and b = 3i – k are adjacent sides of a parallelogram
The area of the parallelogram whose vectors a , b are adjacent sides =
= i (3 – 0) – j (–2 – 0) + k (0 + 9)
=3 i +2 j +9 k
∴ The area of the parallelogram =![]()
Question 16
Let a, b be two non-collinear unit vectors. If α = a – (a . b) b and β = a × b, then show that ![]()
Sol:
= 1 – cos2 θ
= sin2 θ
= 1 + cos2 θ – 2cos2 θ
= 1– cos2 θ
= sin2 θ
Question 17
Sol:
Let a = xi + yj + zk
= i ( 0 – 0) – j (0 – z) + k (0 – y)
= – yk + zj
Similarly,
= x2 + z2 and
= y2 + x2
+
+
= y2 + z2 + x2 + z2 + y2 + x2
= 2(x2 + y2 +z2)
Question 18
If
= 2,
= 3 and (p, q) =
, then find
Sol:
= 2 × 3 sin
= 2 × 3×1/2
= 3
Question 19
If 4i + j + pk is parallel to the vector i + 2j + 3k, then find p.
Sol:
Given 4i + j + pk is parallel to the vector i + 2j + 3k
⇒ p = 12
Question 20
Compute a× (b + c) + b× (c + a) + c× (a + b)
Sol:
a× (b + c) + b× (c + a) + c× (a + b)
= a× b + a× c + b× c + b× a + c × a + c × b
= a× b + a× c + b× c –a × b – a × c – b ×c
= 0
Question 21
Compute 2j× (3i – 4k) + (i + 2j) × k
Sol:
2j× (3i – 4k) + (i + 2j) × k
= 6(j × i) – 8(j × k) + (i × k) + 2(j × k)
= – 6k – 8i – j + 2i
= – 6i –j –6 j















