Trigonometric Ratios(Qns.& Ans) V.S.A.Q.’S designed by the ‘Basics in Maths‘ team.These notes to do help intermediate First-year Maths students.
Inter Maths – 1A two marks questions and solutions are very useful in I.P.E examinations.
Trigonometric Ratios Up to Transformations
Question 1
Find the value of sin2(π/10) + sin2(4π/10) + sin2(6π/10) + sin2(9π/10)
Sol:
sin2(π/10) + sin2(4π/10) + sin2(6π/10) + sin2(9π/10)
= sin2(π/10) + sin2(π/2 – π/10) + sin2(π/2+ π/10) + sin2(π – π/10)
= sin2(π/10) + cos2(π/10) + cos2(π/10) + sin2(π/10)
= 1 + 1 = 2
Question 2
If sin θ = 4/5 and θ not in the first quadrant, find the value of cos θ
Sol:
Given sin θ = 4/5 and θ not in the first quadrant
⇒ θ in the second quadrant
⇒ cos θ < 0
cos2θ = 1 – sin2 θ
=1 – (4/5)2
= 1 – 16/25
∴cos θ = – 3/5 (∵cos θ < 0)
Question 3
If 3sin θ + 4 cos θ = 5, then find the value of 4 sin θ – 3cos θ
Sol:
Given, 3sin θ + 4 cos θ = 5
let 4 sin θ – 3cos θ = x
(3sin θ + 4 cos θ )2 + (4 sin θ – 3cos θ)2 = 52 + x2
9 sin2 θ + 16 cos2 θ + 12 sin θ cos θ + 16 sin2 θ + 9 cos2 θ – 12sin θ cis θ = 25 + x2
25 sin2 θ + 25 cos2 θ = 25 + x2
25 = 25 + x2
⇒ x2 = 0
x = 0
∴ 4 sin θ – 3cos θ = 0
Question 4
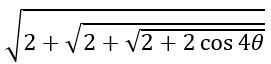
If sec θ + tan θ =
, find the value of sin θ and determine the quadrant in which θ lies
Sol:
Given, sec θ + tan θ = ———— (1)
We know that sec2 θ – tan2 θ = 1
⇒ (sec θ + tan θ) (sec θ – tan θ) = 1
(1) + (2)
⇒ (sec θ + tan θ) + (sec θ – tan θ) = ![]()
(1) – (2)
⇒ (sec θ + tan θ) – (sec θ – tan θ) = ![]()
Since sec θ positive and tan θ is negative θ lies in the 4th quadrant.
Question 5
Prove that cot (π/16). cot (2π/16). cot (3π/16).… cot (7π/16) = 1
Sol:
cot (π/16). cot (2π/16). cot (3π/16).… cot (7π/16)
= cot (π/16). cot (2π/16). cot (3π/16). cot (4π/16). cot (5π/16) cot (6π/16) cot (7π/16)
= cot (π/16). cot (2π/16). cot (3π/16). cot (π/4). cot (π/2 – 3π/16) cot (π/2 – 2π/16) cot (π/2 – π/16)
= cot (π/16). cot (2π/16). cot (3π/16). cot (π/4). tan (3π/16) tan (2π/16) tan (π/16)
= [cot (π/16). tan (π/16)] [cot (2π/16). tan (2π/16)] [cot (3π/16). tan (3π/16]. cot (π/4)
= 1.1.1.1
=1
Question 6
If cos θ + sin θ =
cos θ, then prove that cos θ – sin θ = sin θ
Sol:
(
+ 1) sin θ = (
+ 1) (
– 1) cos θ
Question 7
Find the value of 2(sin6 θ + cos6 θ) – 3 (sin4 θ + cos4 θ)
Sol:
2(sin6 θ + cos6 θ) – 3 (sin4 θ + cos4 θ)
= 2[(sin2 θ)3 + (cos2 θ)3] – 3[(sin2 θ)2 + (cos2)2
= 2[(sin2 θ + cos2 θ)3 – 3 sin2 θ cos2 θ (sin2 θ + cos2 θ)] – 3[(sin2 θ + cos2 θ)2 – 2 sin2 θ cos2 θ]
= 2[1 – 3 sin2 θ cos2 θ] – 3 [1 – 2 sin2 θ cos2 θ]
= 2 – 6 sin2 θ cos2 θ – 3 + 6 sin2 θ cos2 θ
= – 1
Question 8
If tan 200 = λ, then show that
Sol:
Given tan 200 = λ
Question 9
If sin α + cosec α = 2, find the value of sinn α + cosecn α, n∈ Z
Sol:
Given sin α + cosec α = 2
⇒ sin α + 1/ sin α = 2
sin2 α + 1= 2 sin α
sin2 α – 2 sin α + 1= 0
(sin α – 1 )2 = 0
⇒ sin α – 1 = 0
sin α = 1 ⇒ cosec α = 1
sinn α + cosecn α = (1)n + (1)n =1 + 1 =2
∴ sinn α + cosecn α = 2
Question 10
Sol:
Question 11
Find the value of sin 3300. cos 1200 + cos 2100. Sin 3000
Sol:
sin 3300. cos 1200 + cos 2100. Sin 3000
=sin (3600 – 300). cos (1800 – 600) + cos (1800 + 300). sin (3600 – 600)
= (– sin 300). (– cos 600) + (– cos300). (– sin600)
= sin 300. cos 600 + cos300. Sin600
= sin (600 + 300) = sin 900
=1
Question 12
Prove that cos4 α + 2 cos2 α
= (1 – sin4 α)
Sol:
= cos4 α + 2 cos2 α (1 – cos2 α)
= (cos2 α)2 + 2 (1 – sin2 α) (sin2 α)
= (1 – sin2 α)2 + 2 sin2 α – 2sin4 α
= 1 + sin4 α – 2 sin2 α + 2 sin2 α – 2sin4 α
= 1 – sin4 α
Question 13
Eliminate θ from x = a cos3 θ and y = b sin3 θ
Sol:
Given x = a cos3 θ and y = b sin3 θ
cos3 θ = x/a and sin3 θ = y/b
cos θ = (x/a)1/3 and sin θ = (y/b)1/3
we know that sin2 θ + cos2 θ = 1
⇒ [(y/b)1/3]2 + [(x/a)1/3]2 = 1
(x/a)2/3 + (y/b)2/3 = 1
Question 14
Find the period of the following functions
Sol:
(i) f(x) = tan 5x
we know that period of tan kx =![]()
period of given function is = LCM (8, 6) = 24
(iv) f(x) = tan (x + 4x + 9x +…. + n2x)
f(x) = tan (x + 4x + 9x +…. + n2x)
= tan (1 + 4 + 9 + … + n2) x
we know that period of tan kx =![]()
Question 15
Prove that sin2(52 ½)0 – sin2 (22 ½)0 =![]()
Sol:
We know that sin2 A – sin2B = sin (A +B) sin (A – B)
⇒ sin2(52 ½)0 – sin2 (22 ½)0
= sin (52 ½+ 22 ½) sin (52 ½ – 22 ½)
= sin 750 sin 300
∴ sin2(52 ½)0 – sin2 (22 ½)0 =![]()
Question 16
Prove that tan 700 – tan200 = 2 tan 500
Sol:
500 = 700 – 200
Tan 500 = tan (700 – 200)
⇒ tan 700 – tan 200 = tan 500 (1 + tan700 tan 200)
tan 700 – tan 200 = tan 500 [1 + tan700 cot (900 – 200)]
tan 700 – tan 200 = tan 500 [1 + tan700 cot 700]
tan 700 – tan 200 = tan 500 [1 + 1]
∴ tan 700 – tan200 = 2 tan 500
Question 17
If sin α =
, sin β =
and α, β are acute, show that α + β =![]()
Sol:
tan α = 1/3 tan β = ½
tan (α + β) = 1
Question 18
Sol:
Question 19
Sol:
(on dividing numerator and denominator by cos 90)
= tan (450 + 90)
= tan 540
= tan (900 – 360)
= cot 360
Question 20
Show that cos 420 + cos 780 + cos 1620 = 0
Sol:
cos 420 + cos 780 + cos 1620
= cos (600 – 180) + cos (600 + 180) + cos (1800 – 180)
=cos 600 cos180 + sin 600 sin 180 + cos 600 cos 180 – sin 600 sin 180 – cos 180
= 2 cos 600 cos 180 – cos 180
= 2 (1/2) cos 180 – cos 180
= cos 180 – cos 180
= 0
Question 21
Express
sin θ + cos θ as a single of an angle
Sol:
sin θ + cos θ = 2(
sin θ +
cos θ)
= 2(cos 300 sin θ + sin 300 cos θ)
= 2 sin (θ + 300)
Question 22
Find the maximum and minimum value of the following functions
(i) 3 sin x –4 cos x
a= 3, b = –4 and c = 0
= 5
∴ minimum value = –5 and maximum value = 5
(ii) cos (x + ) + 2 sin (x + ) – 3
a= 1, b = 2 and c = – 3
∴ minimum value = –6 and maximum value = 0
Question 23
Find the range of the function f(x) = 7 cos x – 24sin x + 5
Sol:
Given f(x) = 7 cos x – 24sin x + 5
a= 7, b = –24 and c = 5
∴ Range = [–20, 30]
Question 24
Prove that sin2α + cos2 (α + β) + 2 sin α sin β cos (α + β) is independent of α
Sol:
sin2α + cos2 (α + β) + 2 sin α sin β cos (α + β)
= sin2α + cos (α + β) [ cos (α + β) +2 sin α sin β]
= sin2α + cos (α + β) [ cos α cos β – sin α sin β +2 sin α sin β]
=sin2α + cos (α + β) [ cos α cos β + sin α sin β]
=sin2α + cos (α + β) cos (α –β)
= sin2 α + cos2 α – sin2 β
=1 – sin2 β
= cos2 β
Question 25
Sol:
= tan θ
Question 26
For what values of x in the first quadrant
is positive?
Sol:
⟹ 0 < 2x < π/2 (∵ x is in first quadrant)
⟹ 0 < x < π/4
Question 27
If cos θ =
and π < θ < 3π/2, find the value of tan θ/2.
Sol:
π < θ < 3π/2 ⟹ π/2 < θ/2 < 3π/4
tan θ/2 < 0
= – 2
Question 28
If A is not an integral multiple of π/2, prove that cot A – tan A = 2 cot 2A.
Sol:
= 2 cot 2A
Question 29
Evaluate 6 sin 200 – 8sin3 200
Sol:
6 sin 200 – 8sin3 200 = 2 (3 sin 200 – 4sin3 200)
= 2 sin 3(200)
= 2 sin 600
Question 30
Express cos6 A + sin6 A in terms of sin 2A.
Sol:
cos6 A + sin6 A
= (sin2 A)3 + (cos2 A)3
= (sin2 A + cos2 A)3 – 3 sin2 A cos2 A (sin2 A + cos2 A)
= 1 – 3 sin2 A cos2 A
=1 – ¾ (4 sin2 A cos2 A)
= 1 – ¾ sin22 A
Question 31
If 0 < θ < π/8, show that
= 2 cos (θ/2)
Sol:
=2 cos (θ/2)
Question 32
Find the extreme values of cos 2x + cos2x
Sol:
cos 2x + cos2x = 2cos2 x– 1 + cos2 x
=3cos2 x – 1
We know that – 1 ≤ cos x ≤ 1
⟹ 0 ≤ cos2 x ≤ 1
3×0 ≤ 3×cos2 x ≤ 3×1
0– 1 ≤3 cos2 x – 1≤ 3– 1
– 1≤3 cos2 x – 1≤ 2
Minimum value = – 1
Maximum value = 2
Question 33
Sol:
= 4
Question 34
Prove that sin 780 + cos 1320 =![]()
Sol:
sin 780 + cos 1320 = sin 780 + cos (900 + 420)
= sin 780 – sin 420
= 2 cos 600 sin 180
Question 35
Find the value of sin 340 + cos 640 – cos40
Sol:
sin 340 + cos 640 – cos40
= sin 340 – 2sin 340 sin 300
= sin 340 – 2 sin 340 (1/2)
=sin 340 – sin 340
=0
Question 36
Prove that 4(cos 660 + sin 840) =![]()
Sol:
4(cos 660 + sin 840)
=4(cos 660 + sin (900 – 60)
=4(cos 660 + cos (60)
=8 cos 360 cos 300
Question 35
Prove that (tan θ + cot θ)2 = sec2 θ + cosec2 θ = sec2 θ. cosec2 θ
Sol:
= sec θ. cosec θ
(tan θ + cot θ)2 = sec2 θ. cosec2 θ
= sec2 θ. cosec2 θ
Visit my Youtube Channel: Click on Below Logo





















































