TS Polycet 2021
ts polycet 2021 || Solved Previous Question Papers 2021 Maths
The State Board of Technical Education and Training (SBTET), Telangana, Hyderabad will conduct “Polytechnic Common Entrance Test (POLYCET)” for the candidates seeking admission in to all Diploma Courses in Engineering /Non Engineering Technology.
The Main Subjects in thists polycet 2021 Exam are Mathematics, Physics, Chemistry and Biology. Here we are providing Previous Maths Papers Questions and Solutions.
The syllabus of Mathematics, Physics, Chemistry and Biology for POLYCET-2021 is the same as that of SSC Examination conducted by the Board of Secondary Education, Telangaana.
ts polycet 2021
TS Polycet || Solved Previous Question Papers 2021 Maths gives an idea to solve the problems in TS POLYCET entence examination
ts polycet 2021
Chapter 1: Real Numbers
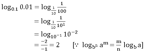
1. The value of
is
యొక్క విలువ ఎంత ?

Answer: (2)
2.The HCF of 8, 9 and 25 is
8, 9 మరియు 25 గ. సా. కా ఎంత?
(1) 3 (2) 0 (3) 2 (4) 1
Answer: (4)
3.
is ____________
అనునది____________
(1) Natural numbers (సహజ సంఖ్య)
(2) Irrational number (కరణీయ సంఖ్య)
(3) Rational Number (అకరణీయ సంఖ్య)
(4) An Integer (పూర్ణ సంఖ్య)
Answer: (2)
4. If 2x = 82 then x =?
2x = 82 అయిన x =?
(1) 4 (2) 2 (3) 6 (4) 8
Answer: (3)
ts Polycet 2021
5. The value of
is
యొక్క విలువ
(1) 1 (2) 2 (3) 3 (4) 4
Answer: (2)
ts polycet 2021
Chapter 2: Sets
1. Cardinal number of set A = {– 2, – 1, 0, 1, 2}
A = {– 2, – 1, 0, 1, 2} అనే సమితికి కార్డినల్ సంఖ్య
(1) 5 (2) 4 (3) 1 (4) 0
Answer: (1)
2. If A = {C, V, I, D, 19, 2020} and B = {C, V, I, D, 19, 2021}, then B – A =
A = {C, V, I, D, 19, 2020} and B = {C, V, I, D, 19, 2021}, అయిన B – A =
(1) {2020, 2021}
(2) {C, V, I, D, 19, 2020}
(3) {2020}
(4) {2021}
Answer: (4)
ts polycet 2021
ts Polycet 2021
Chapter 3: Polynomials
1.The zeroes 4f the quadratic polynomial x2 + 24x + 119 are
x2 + 24x + 119 అనే వర్గ బహుపదీ శూన్యాలు
(1) one positive and on negative (ఒకటి ధనాత్మకం మరియు ఒకటి ఋణాత్మకం)
(2) both positive (రెండూ ధనాత్మకం)
(3) both negative (రెండూ ఋణాత్మకం)
(4)none of the above (ఏదీ కాదు)
Answer: (3)
2. what is the degree of the polynomial 7u6 – u4 + 6 u2 – 8?
7u6 – u4 + 6 u2 – 8 బహుపదీ యొక్క పరిమాణం ఎంత?
(1) 7 (2) 4
(3) 6 (4) – 8
Answer: (3)
ts polycet 2021
Chapter 4: Linear equations in Two Variables
1.Solution of the equations 3x – 4y = 7 and 2x + 3y = – 1 is not equal to
3x – 4y = 7 మరియు 2x + 3y = – 1 సమీకరణాల సాధనలు ఈ క్రింది వాటిలో దేనికి
సమానం కాదు

Answer: (1)
2. If x + 7y = 7 and 7x – 3y = – 3, then y value?
x + 7y = 7 మరియు 7x – 3y = – 3, అయిన y విలువ?
(1)1 (2) – 3
(3) 7 (4) 0
Answer: (1)
3. Which of the following equation is not a linear equation?
ఈ క్రింది సమీకరణాలలో ఏది రేఖీయ సమీకరణం కాదు?
(1) 2 + 3x = y – 5
(2) x + 3y = 2y – x
(3) 5x + 2y =- 0
(4) 3 – x = y2 + 7
Answer: (4)
4. If the system of equations 3x – 2y – 7 = 0 and kx + 2y + 11 = 0 has unique
solution then
3x – 2y – 7 = 0 మరియు kx + 2y + 11 = 0 సమీకరణాల జతకు ఏకైక సాధన ఉంటె
(1) k ≠ 3 (2) k = 3
(3) k ≠ – 3 (4) k = – 3
Answer: (3)
4. If 7x – 5y = 2 and 3x + y = 4, then x =?
7x – 5y = 2 మరియు 3x + y = 4 అయితే x విలువ?
(1) 3 (2) 1
(3)2 (4) – 3
Answer: (2)
ts polycet 2021
Chapter 5: Quadratic Equations
1.The roots of x2 + x – 6 = 0 are
x2 + x – 6 = 0 యొక్క మూలాలు
(1) 2, – 3 4(2) –2, 3
(3) 2, 3 (4) –2, –3
Answer: (1)
2. If α, β are the roots of the quadratic equation ax2 + bx + c = 0, a ≠ 0 then
=
α, β లు ax2 + bx + c = 0, a ≠ 0 సమీకరణం యొక్క మూలాలు అయిన,
=

Answer:
3. If x2 + kx + 1 = 0 has a root x = 1, then k =
x2 + kx + 1 = 0 సమీకరణం కు x = 1 ఒక మూలం అయిన, k =
(1) 1 (2) 2
(3) 3 (4) – 2
Answer: (4)
4. If the roots of the quadratic equation ax2 + bx + c = 0 are sin α and cos α, then
=
sin α మరియు cos α లు ax2 + bx + c = 0 యొక్క మూలాలు అయిన
=
(1)
(2)
(3) a2 (4) b2
Answer: ![]()
Chapter 6: Progressions
1.10th term of an A.P 2, – 1, – 4 …… is
2, – 1, – 4 …… అనే అంక శ్రేడిలోని పదవ పదం
(1) – 21 (2) – 23
(3) – 25 (4) – 27
Answer: (3)
2. How many two-digit numbers are divisible by 7?
7 చే భాగించబడే రెండంకెల సంఖ్యలు ఎన్ని?
(1) 10 (2) 11
(3) 12 (4) 13
Answer: (4)
3. The sum of 15 terms of AP 3, 6, 9…. is
3, 6, 9….. అను అంకశ్రేడిలోని 15 పదాల మొత్తం
(1) 315 (2) 360
(3) 415 (4) 460
Answer: 360
4. If ∑n = 45, then n =
∑n = 45 అయిన, n =
(1) 9 (2) 10
(3) 11 (4) 12
Answer: (1)
Chapter 7: Coordinater Geometry
1.The centre of a circle with (1, 2) and (7, – 4), as end points of diameter is
(1, 2) మరియు (7, – 4) లు వ్యాసాగ్రాలు గా గల వృత్త కేంద్రం
(1) (– 4, 1) (2) (4, – 1)
(3) (–4, –1) (4) (4, 1)
Answer: (2)
2. Area of the triangle formed by the line x co
s α + y sin α = p with the coordinate
axes is
x cos α + y sin α = p రేఖ నిరూపక అక్షాలతో ఏర్పరిచే త్రిభుజ వైశాల్యం

Answer: (1)
3. The distance between the points (0, 0) and (5, 12) is
(0, 0) మరియు (5, 12) ల మధ్య దూరం
(1) 11 (2) 12
(3) 13 (4) 14
Answer: (3)
4. If the slope of the line through (x, 5) and (5, 2) is 3, then the value of x is
(x, 5) మరియు (5, 2) ల గుండా పోవు రేఖ వాలు 3 అయిన x విలువ
(1)3 (2) 4
(3) 5 (4) 6
Answer: (4)
Chapter 8: Similar Triangles
1. If ∆ ABC ~ ∆ PQR; ∠A = 320, ∠R = 650, then ∠B =
If ∆ ABC ~ ∆ PQR; ∠A = 320, ∠R = 650, అయిన ∠B =
(1)930 (2) 830
(3) 730 (4) 630
Answer: 830
2. In the ∆ ABC; D, E and F are midpoints of the side BC, CA and AB.
Then area of ∆ DEF : ∆ ABC = __________
∆ ABC లో D, E మరియు F లు వరుసగా BC, CA మరియు AB ల మధ్య బిన్డువులైన,
∆ DEF వైశాల్యం : ∆ ABC వైశాల్యం = __________
(1) 1 : 4 (2) 4 : 1
(3) 1 : 3 (4) 3 : 4
Answer: (1)
3. In the given figure ∠BAC = 900, AD ⊥ BC, BD = 9 cm and CD = 16 cm then AC =?
ఇచ్చిన పటం నుండి ∠BAC = 900, AD ⊥ BC , BD = 9 cm మరియు CD = 16 cm
అయిన AC = ?
(1) 10 cm (2) 15 cm
(3) 20 cm (4) 25 cm
Answer: (3)
4. The base of two similar triangles are 24 cm and 18 cm. If one side of first triangle is 8 cm, then the corresponding side of another triangle is _______
రెండు సరూప త్రిభుజాల పొడవులు 24 cm మరియు 18 cm. ఒక త్రిభుజ భుజం 8 cm
అయిన, రెండవ అనురూప త్రిభుజ భుజం
(1) 8 cm (2) 6 cm
(3) 4 cm (4) 2 cm
Answer: (2)
Chapter 9: Tangents and Secants to a Circle
1.The angle in a minor segment is ______ angle
అల్పవ్రుత్త ఖండం లోని కోణం _______ కోణం
(1) obtuse (అధిక) (2) acute (అల్ప)
(3) right (లంబ) (4) straight (సరళ)
Answer: (1)
2. In the figure ∠CAO = 300, ∠CBO = 400, then ∠AOB =?

పటం నుండి ∠CAO = 300, ∠CBO = 400అయిన, ∠AOB =?
(1) 1000 (2) 1200
(3) 1400 (4) 1500
Answer: (3)
3. In the figure OB = 13 cm, OP ⊥ AB, OP = 12 cm then AB =_______

పటం నుండి OB = 13 cm, OP ⊥ AB, OP = 12 cm అయిన AB =_______
(1) 100 cm (2) 50 cm
(3) 75 cm (4) 10 cm
Answer: (4)
4. If a parallelogram is cyclic, then it is a _________
సమాంతర చతుర్భుజం చక్రీయమైన, అది ఒక _________
(1) Rectangle (దీర్ఘ చతురస్రం) (2) Square (చతురస్రం)
(3) Quadrilateral (చతుర్భుజం) (4) Rhombus (రాంబస్)
Answer: (1)
5. The angle at tangent to a circle and radius drawn at the point of contact is
స్పర్శ బిందువు వద్ద వృత్త స్పర్శ రేఖతో దాని వ్యాసార్థం చేయు కోణం
(1) 600 (2) 900
(3) 450 (4) 300
Answer: (2)
6. In the figure, AP = 12 cm, PB = 16cm. Let π = 3, then the perimeter of shaded portion is

పటం నుండి AP = 12 cm, PB = 16cm. π = 3 అయిన, షేడ్ చేసిన ప్రాంతం యొక్క చుట్టుకొలత ఎంత?
(1) 52 cm (2) 58 cm
(3) 56 cm (4) 62 cm
Answer: (2)
Chapter 10: Mensuration
1.If the perimeter of a rhombus is 52 cm, if one of the diagonals is 24 cm then the length of the other diagonal is
ఒక రాంబస్ యొక్క చుట్టుకొలత 52 సెం.మీ. మరియు దాని ఒక కర్ణం 24 సెం.మీ. అయిన దాని రెండవ కర్ణం పొడవు ఎంత ?
(1) 5 cm (2) 7 cm
(3) 9 cm (4) 10 cm
Answer: (4)
2. The Radius of a cone is 7m and its height is 10 m. Then its slant height is _______
ఒక శంఖువు యొక్క వ్యాసార్టం 7మీ. మరియు నిలువు ఎత్తు 10 మీ. అయిన ఏటవాలు ఎత్తు_______
(1) 2 m (2) 13.5 m
(3) 14.5 m (4) 16.2 m
Answer: (1)
3. The ratio of volumes of two cones is 4 : 5 and the ratio of radii of their bases is 2 : 3, then the ratio of their vertical height is
రెండు శంఖువుల ఘనపరిమాణం ల నిష్పత్తి 4 : 5 మరియు వాటి వ్యాసార్తాల నిష్పత్తి 2 : 3 అయిన, వాటి నిలువు ఎత్తుల నిష్పత్తి
(1) 4 : 5 (2) 9 : 5
(3) 3 : 5 (4) 2 : 5
Answer: (1)
4. Three cubes of sides 6cm, 8 cm and 1 cm are melted to form a new cube then the length of the edge of the new cube is
6cm, 8 cm మరియు 1 cm భుజాలుగా గల సమ ఘనాలను కరిగించి ఒక పెద్ద ఘనం తయారు
చేయగా ఆ ఘనం యొక్క భుజం కొలత ఎంత?
(1) 9 cm (2) 8 cm
(3) 7 cm (4) 6 cm
Answer: (1)
5. If the diameter of a sphere is ‘d’ then its volume is
ఒక గోళం యొక్క వ్యాసం ‘d’ అయిన , దాని ఘనపరిమాణం
(1) πd3 (2) πd3
(3) πd3 (4) πd3
Answer: (1)
6. A reservoir in the shape of a frustum of a right circular cone. It is 8 m across at the top and 4m cross at the bottom. It is 6m deep then its capacity is
ఒక రిజర్వాయర్ షటేల్ కాక్ పైబాగం ఫ్రస్టం ఆకారం లో గలదు. దాని పైన మరియు క్రింది వ్యాసాలు 8 మీ., 4 మీ. మరియు లోతు 6 మీ.అయిన, దాని ఘనపరిమాణం ఎంత?
(1) 174 m3 (2) 176 m3
(3) 127 m3 (4) 170 m3
Answer: (2)
Chapter 11: Trigonometry
1.If A + B = 900 and cot B = then the value of tan A_________
A + B = 900 మరియు cot B = అయిన tan A విలువ_________
Answer: (1)
2. If tan θ = cot θ, then the value of sec θ = ____________
tan θ = cot θ అయిన, sec θ విలువ = ____________

Answer: (3)
3. If cot θ =
then =
cot θ =
అయితే =

Answer: (2)
4. The value of
is
యొక్క విలువ
(1) 0 (2) – 1
(3) 1 (4) 2
Answer: (1)
5. The value of sin θ or cos θ neve exceeds
sin θ లేదా cos θ ల యొక్క విలువ దేనికంటే ఎక్కువ కాదు
(1) – 1 (2) 1
(3) 0 (4) none
Answer: (2)
6. In the figure, the value of cosec A is

పటం నుండి cosec A విలువ

Answer: (3)
Chapter 12: Application of Trigonometry
1. Tops of thetwo poles are of height 20 m and 14 m are connected by a wire. If the wire makes an angle 300 with the horizontal, then the length of the wire is
20 మీ. మరియు 14 మీ. పొడవులు గల రెండు స్తంభాల కోనల్నితాడుతో కలిపారు. ఆ తాడు క్షితిజ సమాంతర రేఖతో 300 కోణం చేసిన, ఆ తాడు యొక్క పొడవు
(1) 11m (2) 12 m
(3) 13 m (4) 10 m
Answer: (2)
2. From the figure, θ = __________
పటం నుండి θ = __________
(1) 450 (2) 600
(3) 300 (4) 750
Answer: (2)
Chapter 13: Probability
1.P(x) + P (“not x”) =
P(x) + P (“x కానిది”) =
(1) – 1 (2) – 2
(3) 1 (4) 2
Answer: (3)
2. If a two-digit number is choosen at random, then the probability that number choosen is a multiple of 3.
రెండంకెల సంఖ్యలో ఒక డాన్ని తీసుకుంటే, అది 3 యొక్క గుణిజమయ్యే సంభావ్యత
Answer: (2)
3. A die is thrown twice, then the probability of 5 will come up at least once.
ఒక పాచికను రెండు సార్లు దోర్లిస్తే కనీసం ఒకసారి ముఖంపై 5 వచ్చు సంభావ్యత

Answer: (1)
4. Three coins are tossed simultaneously, then the probability of getting at least two heads is
మూడు నాణాలను వరుసగా ఎగుర వేస్తే, కనీసం రెండు బారుసలు వచ్చే సంభావ్యత

Answer: (3)
Chapter 14: Statistics
1.If the mean of 6, 7, x, 8, y, 14 is 9 then x + y =____
6, 7, x, 8, y, 14 ల సగటు 9 అయిన, x + y =____
(1) 17 (2) 18
(3) 19 (4) 20
Answer: (3)
2. A.M of 30 students is 42. Among them, two students get zero marks, then A.M of the remaining students is
30 మంది విద్యార్థుల సగటు 42. వారిలో ఇద్దరికి ‘0’ మార్కులు వస్తే మిగిలిన విద్యార్తుల సగటు
(1) 40 (2) 45
(3) 50 (4) 55
Answer: (2)
3. The median of 17, 31, 12, 27, 15, 19, 23 is
17, 31, 12, 27, 15, 19, 23 ల యొక్క మధ్యగతం
(1) 19 (2) 20
(3) 21 (4) 22
Answer: (1)
4. Mode of A, B, C, D, …., Z is
A, B, C, D, …., Z ల యొక్క బాహులకం
(1) 20 (2) 21
(3) 22 (4) no mode (బాహులకం ఉండదు)
Answer: (4)
TS X Math’s Concept




is

=
=


















is







observation

