Real Numbers POLYCET Maths Guide for Top Rank
Imagine you are preparing for POLYCET
Maths, solving problems confidently, when a question about Real Numbers suddenly appears.
For some students, this chapter feels confusing. At first, words like irrational numbers, Euclid’s Division Lemma, HCF, and LCM can feel confusing or even intimidating. But the good news is that these concepts are actually quite simple once you break them down step by step.
Real Numbers is actually one of the easiest scoring chapters in POLYCET Maths.
Yes, it’s true. When you understand the basic concepts and patterns properly, you’ll be able to solve most questions within seconds.
Many POLYCET toppers say that mastering this chapter early gives them a big confidence boost.
In this complete guide, we will break down Real Numbers in the simplest possible way so that even beginners can understand it easily.
In easy words, real numbers are all the numbers that we can represent on a number line.
They include:
- Natural Numbers
- Whole Numbers
- Integers
- Rational Numbers
- Irrational Numbers
Example of Real Numbers
-2, 3, π, √4, 0.23
All these are Real Numbers.
Real numbers are basically divided into two main types:
- Rational Numbers
- Irrational Numbers
1. Rational Number:
A Rational Number is any number that can be written in the form: p/q. where p, q are integers and q ≠ 0. Rational number is denoted by Q.
Examples: 3/2, -5/6, 10/35
Properties of Rational Numbers
Rational numbers can be:
- Positive or negative
- Terminating decimals (like – 3.25, 1.456, 3.67)
- Repeating decimals(like – 2.133333…., 5.232323….)
Note: Natural numbers, whole numbers and Integers are rational numbers.
2. Irrational Numbers
An Irrational Number cannot be written in the form p/q. An irrational number is denoted by Q’ or S.
Examples: √3, √5, √7, π
Note: Decimal Expansion of irrational numbers is non-terminating, non- repeating decimals
Euclid division lemma:
For any two positive integers a and b, there exist two integers q and r uniquely satisfying the rule a = bq + r, 0 ≤ r < b
a = dividend; b = divisor; q = quotient; r = remainder
Example: 20 divided by 6
20 = 6 × 3 + 2
a = 20, b = 6, q = 3 and r = 2
HCF Using Euclid Algorithm
HCF means Highest Common Factor.
Example: Find the HCF of 135 and 225
225 = 135 × 1 + 90
135 = 90 × 1 + 45
90 = 45 × 2 + 0
HCF of 135 and 225 = 45
Prime number:
A number which has only two factors, 1 and itself, is called a prime number.
2, 3, 5, 7 …. Etc. are prime numbers
Composite number:
A number that has more than two factors is called a composite number.
4, 6, 8, 9, 10,… etc.
Co-prime numbers:
Two numbers are said to be co-prime numbers if they have no common factor except 1
Ex: (1, 2) , (3, 4), (4, 7)…etc.
Note: HCF of co-prime numbers is always 1
LCM of co-prime numbers is always their product
Ex: HCF (2, 5) = 1
LCM (2, 5) = 2 × 5 = 10
Note: 1 is neither a prime nor a composite
Real Numbers POLYCET Maths
Fundamental Theorem of Arithmetic:
Every Composite number (positive) can be expressed as a product of primes uniquely, irrespective of their order.
Example: 24 = 2× 2 × 2 × 3 = 23 ×3
To find HCF and LCM by using the prime factorisation method:
- H.C.F = product of the smallest power of each common prime factor of the given numbers.
- L.C.M = product of the greatest power of each prime factor of the given numbers.
To find HCF and LCM by using the prime factorisation method:
H.C.F = product of the smallest power of each common prime factor of the given numbers.
L.C.M = product of the greatest power of each prime factor of the given numbers.
Real Numbers POLYCET Maths
Relationship between L.C.M and H.C.F of two numbers
For any two positive integers ‘a’ and ‘b’
H.C.F (a, b) × L.C.M (a, b) = a × b
Ex: Let the numbers be 4 and 12
H.C.F (4, 12) = 4 and L.C.M (4, 12) = 12
H.C.F (4, 12) × L.C.M (4, 12) = 48
a × b = 4 × 12 = 48
Important Points
- Decimal numbers with a finite number of digits are called terminating decimals.
- Decimal numbers with an infinite number of digits are called non-terminating decimals.
- In a decimal, a digit or a sequence of digits in the decimal part keeps repeating itself infinitely. Such decimals are called non- terminating repeating decimals.
- In p/q, if the prime factorisation of q is in the form 2m 5n, then p/q is a terminating decimal. Otherwise non-terminating repeating decimal
- ‘p’ is a prime number and ‘a’ is a positive integer; if p divides a2, then p divides a.
Exponents (Power of a Number)
a × a = a2; a × a × a = a3
a × a × a × a ………× a (m times) = am
In the exponent am → a is base and m is the exponent
Real Numbers POLYCET Maths

Real Numbers POLYCET Maths
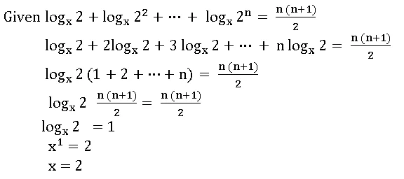
Logarithms:
If ax = N, then x = ![]()
Standard formulae of logarithms:
Real Numbers POLYCET Maths
Real Numbers POLYCET Maths
Solved Questions with Answers
1. If 7 divides a2 then
a2 ను 7 భాగించినచో
(1) 7 divides a (a ను 7 భాగిస్తుంది) (2) 7 divides ( ను 7 భాగిస్తుంది)
(3) a divide 7 (7 ను a భాగిస్తుంది) (4) none (ఏదీ కాదు)
Answer: (1)
2. In the formula loga(xy) = loga(x) + loga(y) which of the following is true?
loga(xy) = loga(x) + loga(y) అయిన, ఈ క్రింది వాటిలో ఏది సత్యము.
(1) x > 0, y > 0, a = 1 (2) x < 0, y < 0, a = 1
(3) a > 0, y > 0, x = 1 (4) x > 0, y > 0, a ≠ 1
Answer: (4)
Solution:
loga(xy) = loga(x) + loga(y, then x > 0, y > 0, a ≠ 1
3. 5 =

Answer: (3)
Solution:
4.
then x =
అయిన, x =
(1) n (2) 1 (3) 5 (4) 2
Answer: (4)
Solution:
5. If
, ac = ___
అయిన, ac = ___
(1) a2 (2) b2 (3) c2 (4) None(ఏది కాదు)
Answer: (2)
Solution:

Real Numbers
6. If HCF (26, 169) = 13, then LCM (26, 169) =
HCF (26, 169) = 13 అయిన LCM (26, 169) =
(1) 26 (2) 52 (3) 338 (4) 13
Answer: (3)
Solution:
We know that HCF (a, b) ×LCM (a, b) = a × b
13 × LCM (26, 169) = 26 ×169
LCM (26, 169) = (26 ×169)/13
LCM (26, 169) = 2 × 169 = 338
7. If log10(2) = 0.3010, then the number of digits in 42013 is
log10(2) = 0.3010 అయిన 42013 అను సంఖ్యలోని అంకెల సంఖ్య
(1) 1211 (2) 1212 (3) 1210 (4) none (ఏది కాదు)
Answer: (2)
Solution:
42013 = (22)2013 = 24026
log2(24026) = 4026 (log2)
= 4026(0.3010) = 1211.826 = 1212
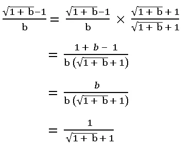
8. ![]()
(1) 0 (2) –1 (3) 2 (4) 7
Answer: (1)
Solution:

9. 
![]()
Answer: (2)
Solution:

10. If n is a natural number, then 6n – 5n always ends with
n అనునది ఒక సహజ సంఖ్య అయితే 6n – 5n సంఖ్య లో ఒకట్ల స్థానంలోని అంకె
(1) 7 (2) 5 (3) 3 (4) 1
Answer: (4)
Solution:
if n = 1, then 6n – 5n = 61 – 51 = 1
if n = 2, then 6n – 5n = 62 – 52 = 36 – 25 = 11
if n = 3, then 6n – 5n = 63 – 53 = 216 – 125 = 91
∴ 6n – 5n ends with the digit 1
11. log10(125) + log10(8) =
(1) 1 (2) 2 (3) 3 (4) None (ఏది కాదు)
Answer: (3)
Solution:
log10(125) + log10(8) = log10(53) + log10(23)
= 3[log10(5) + log10(2)]
= 3[log10(5 × 2)]
= 3[log10(10) ]
= 3
12. The relation a(b + c) = ab + ac is
a(b + c) = ab + ac అనునది క్రింది వాటిలో ఏ నియమాన్ని సూచిస్తుంది
(1) commutative law (స్థిత్యంతర ధర్మం) (2) associative law (సహచర ధర్మం)
(3) distributrive law(విభాగ న్యాయం) (4) None (ఏది కాదు)
Answer: (3)
13. If n is a natural number, then 8n – 3n is always divisible by
n అనేది ఒక సహజ సంఖ్య అయిన 8n – 3n ఎల్లప్పుడు ——— చే భాగించబడును
(1) 3 (2) 5 (3) 8 (4) 11
14. The value of loge(√e)
loge(√e) విలువ
(1) 0 (2) 1 (3) e (4) 1/2
Answer: (4)
Solution:
loge(√e) = loge(e1/2 )
= 1/2loge(e)
= 1/2
15. Exponential form of log4(64) = 3 is
log4(64) = 3 కి ఘాత రూపం
(1) 34 = 64 (2) 42 = 81 (3) 43 = 64 (4) None
Answer: (3)
Solution:
log4(64) = 3 ⇒ 43 = 64




