TG POLYCET 2024 Maths Question Paper with Solutions Guide
Get exam-ready with the TG POLYCET 2024 Maths Question Paper with Solutions.
- In this post, you’ll find the full maths question paper along with simple & easy step-by-step solutions.
- It helps students understand the concepts clearly, improve problem-solving skills, and gain confidence for the exam.
- A perfect resource for practice, quick revision, and better preparation to score high in TG POLYCET.
Real Numbers
1. (6 + 5 √3) − (4 − 3 √3) is
(6 + 5 √3) − (4 − 3 √3) అనునది
(1) Rational number (అకరణీయ సంఖ్య)
(2) Irrational number (కరణీయ సంఖ్య)
(3) Natural number (సహజ సంఖ్య)
(4) None of the above (పైవేవీ కావు)
Answer: (2)
Solution: (6 + 5 √3) − (4 − 3 √3) = 6 – 4 + 5√3 + 3 √3
= 2 + 8√3
2 + 8√3 is an irrational number
2. Which of the following rational numbers has a terminating decimal?
కింది వాటిలో ఏ అకరణీయ సంఖ్య అంతమయ్యే దశాంశాన్ని కలిగి ఉంటుంది?
(1) 7/250 (2) 16/225 (3) 5/18 (4) 2/21
Answer: (1)
Solution: in 7/250 =
250 = 5 × 5× 5× 2 = 53 × 2
In 16/225
225 = 5 × 5× 3× 3= 52 × 32
In 5/18
18 = 2 × 3 × 3= 2× 32 × 2
In 2/21
225 = 3 × 7
In p/q of a rational number, if q is of the form 5m × 2n then it has a terminating decimal
3. H.C.F. of 2023, 2024, 2025 is
2023, 2024, 2025 ల యొక్క గ.సా.భా.
(1) 2024 (2) 2023 (3) 0 (4) 1
Answer: (1)
Solution: 2023, 2024, 2025 have 1 as the common factor
So, H.C.F. of 2023, 2024, 2025 is 1
4. The value of log6 2 + log 6 3 is:
log6 2 + log 6 3 యొక్క విలువ:
(1) 0 (2) 1 (3) 2 (4) 3
Answer: (2)
Solution: log6 2 + log 6 3 = log6 (2 × 3)
= log 6 6
= 1
5. Exponential form of log 𝑏 𝑎 = 𝑐 is:
log 𝑏 𝑎 = 𝑐 యొక్క ఘాత రూపము:
(1) ba = c (2) ac = b (3) ab = c (4) bc = a
Answer: (4)
Solution: log 𝑏 𝑎 = 𝑐 ⇒ bc = a
6. The product of prime factors of 2024 is:
2024 యొక్క ప్రధాన కారణాంకాల లబ్ధము:
(1) 11 × 23× 32 (2) 23 × 11 × 23
(3) 7 × 23× 23 (4) 23 × 112× 22
Answer: (2)
Solution:

2024 = 23 × 11 × 23
TG POLYCET 2024 Maths Question Paper with Solutions.
Sets
1. If A = {1, 2, 3, 4, 5}, which of the following two sets are equal sets?
క్రింది రెండు సమితులలో ఏవి సమాన సమితులు?
(1) A = {5, 6}, B = {5} (2) A = {5, 6}, B = {5, 6, 7}
(3) A = {5, 6, 7}, B = {7, 5, 6} (4) A = {5, 6, 8}, B = {5, 6, 7}
Answer: (3)
Solution: Given A = {1, 2, 3, 4, 5} and B = {4, 5, 6, 7}
A – B = {1, 2, 3, 4, 5} – {4, 5, 6, 7} = {1, 2, 3}
2. {0} is a set which has ______ elements.
{0} అనేది ______ మూలకాలను కలిగి ఉన్న సమితి.
(1) 0 (2) 1 (3) 4 (4) 3
Answer: (1)
Solution: {0} in this set, 0 as one element
Number of elements in this set = 1
Polynomials
1. If P(x) = 11x8 − 5x6 + 4x4 − 7x2 + 6, then the degree of P(x)is:
P(x) = 11x8 − 5x6 + 4x4 − 7x2 + 6 అయిన, P(x)యొక్క పరిమాణము:
(1) 8 (2) 6 (3) 4 (4) 2
Answer: (1)
Solution:
We know that the highest power of a given polynomial is called the degree of the polynomial
In the given polynomial, the highest power is 8
∴ Degree of the given polynomial is 8
TG POLYCET 2024 Maths Question Paper with Solutions.
2. If − 1, − 2 are two zeros of a polynomial 2x3 + ax2 + bx − 2, then the values of a and b are:
2x3 + ax2 + bx − 2, అను బహుపది యొక్క రెండు శూన్యాలు − 1, − 2 అయిన, a మరియు b యొక్క విలువలు:
(1) 2, – 1 (2) –5, – 1 (3) 5, 1 (4) –2, – 1
Answer: (3)
Solution: Let p(x) = 2x3 + ax2 + bx − 2
− 1 is the zero of a polynomial p(x)
⇒ p (− 1) = 0
⇒2(− 1)3 + a (− 1)2 + b (− 1) – 2 = 0
⇒− 2 + a − b – 2 = 0
⇒ a − b – 4 = 0
⇒ a − b = 4
⇒ a = b + 4
-2 is the zero of a polynomial p(x)
⇒ p (− 2) = 0
⇒2(− 2)3 + a (− 2)2 + b (− 2) – 2 = 0
⇒ 2(−8) + a (4) − 2b – 2 = 0
⇒ −16 + 4a − 2b – 2 = 0
⇒ 4a − 2b – 18 = 0
⇒ 2(2a − b – 9) = 0
⇒ 2a − b – 9
⇒ 2(b + 4) − b – 9 = 0
⇒ 2b + 8 − b – 9 = 0
⇒ b – 1 = 0
⇒ b = 1
Now a = b + 4 = 1 + 4 = 5
a = 5
3. If 𝛼, 𝛽 are the zeros of the polynomial P (x ) = 3x2 − x − 4 , then 𝛼⋅𝛽 =
P (x) = 3x2 − x − 4 అను బహుపది యొక్క శూన్యాలు 𝛼, 𝛽 అయిన, 𝛼⋅𝛽 =
(1) − 4/3 (2) 4/3 (3) – 1/3 (4) 1/3
Answer: (1)
Solution: Given Polynomial is P (x ) = 3x2 − x − 4
a = 3, b = – 1 and c = – 4
We know that the product of the zeroes of a polynomial P (x ) = ax2 + bx + c is
𝛼⋅𝛽 = = c/a = – 4/3
Linear equations in Two Variables
1. Which of the following equation represent the situation where Kiran bought 5 oranges, 7 apples and Harish bought 2 oranges, 12 apples for same amount of total money?
కిరణ్ 5 నారింజలు, 7 యాపిల్స్ మరియు హరీష్ 2 నారింజలు, 12 యాపిల్స్ విడివిడిగా ఒకే మొత్తానికి కొన్నారు. కింది సమీకరణాలలో ఈ విషయాన్ని సూచించే సమీకరణము ఏది?
(1) 5x + 12y = 2x + 7y (2) 5x + 7y = 2x + 12y
(3) 5x − 7y = 2x − 12y (4) 5x + 2y = 7x + 12y
Answer: (2)
Solution: Let the cost of each orange = Rs. x
Let the cost of each Apple = Rs. Y
According to the problem
Required equation is 5x + 7y = 2x + 12y
2. If
and
then
మరియు
అయిన,
(1) x =4, y = 3 (2) x = 2, y = 9
(3) x = 4, y = 9 (4) x = 2, y = 3
Answer: (3)
Solution: Given equations are and
Let
= a and
= b
⟹2a + 3b= 2 and 4a – 9b = – 1

b = 5/15 = 1/3
2a + 3(1/3)= 2
2a + 1= 2
2a= 1
a= 1/2
b= 3
⟹ √x = 2, √y = 3
⟹ x = 4, y = 9
3. The pair of equations x + y = 5 and 2x + 2y = k has infinitely many solutions if k =
x + y = 5 మరియు 2x + 2y = k అను సమీకరణాల జత అనంతమైన సాధనలను కలిగి ఉండాలి అనిన, k =
(1) 4 (2) 6 (3) 8 (4) 10
Answer: (4)
Solution: Given lines are x + y = 5, 2x + 2y = k has infinitely many solutions
a1 = 1; b1 = 1; c1 = 5
a2 = 2; b2 = 2; c2 = k
k = 10
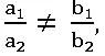
4. If
, where a1x + b1y + c1 = 0 and a2x + b2y + c2 = 0 are two linear equations, then the equations
, అయ్యేట్లుగా a1x + b1y + c1 = 0 మరియు a2x + b2y + c2 = 0 అనేవి రెండు రేఖీయ సమీకరణాలైతే, ఆ సమీకరణాలు
(1) have a unique solution (ఏకైక సాధన కలిగి ఉంటాయి)
(2) have infinitely many solutions (అనంతమైన సాధనలు కలిగి ఉంటాయి)
(3) have finite solutions (పరిమితమైన సాధనలు కలిగి ఉంటాయి)
(4) have no solution (ఏ సాధనలు కలిగి ఉండవు)
Answer: (1)
5. The value of p for which the pair of equations 3x + 4y + 2 = 0 and 9x + py + 8 = 0 represents parallel lines, is:
3x + 4y + 2 = 0 మరియు 9x + py + 8 = 0 అను సమీకరణాల జత సమాంతర రేఖలను సూచించిన, p విలువ:
(1) 2 (2) 4 (3) 6 (4) 12
Answer: (4)
Solution: Given lines 3x + 4y + 2 = 0, 9x + py + 8 = 0 are parallel
a1 = 3; b1 = 4; c1 = 2
a2 = 9; b2 = p; c2 = 8

Quadratic Equations
1. The roots of the quadratic equation x2 – 4x + 4 = 0 are
x2 – 4x + 4 = 0 అను వర్గ సమీకరణ మూలాలు
(1) 4, 1 (2) 2, 2 (3) −2, −2 (4) 4, 2
Answer: (2)
Solution: Given QE is x2 – 4x + 4 = 0
(x – 2)2 = 0
x = 2, 2
2. The sum of the roots of the quadratic equation 3x2 – 5x + 2 = 0 is:
3x2 – 5x + 2 = 0 అనే వర్గ సమీకరణ మూలాల మొత్తం:
(1) 5/3 (2) – 5/3 (3) – 3/5 (4) 3/5
Answer: (1)
Solution: Given equation is 3x2 – 5x + 2 = 0
a = 3, b = – 5, c = 2
sum of the roots = – (–5/3)
= 5/3
3. Sum of the areas of two squares is 625m2. If the difference of their perimeters is 20m, find the sides of the two squares.
రెండు చతురస్రాల వైశాల్యాల మొత్తము 625చ.మీ. వాని చుట్టు కొలతల భేదము 20 మీ. అయిన, ఆ రెండు చతురస్రాల భుజాలను కనుగొనుము
(1) 20m, 5m (2) 15m, 10m
(3) 20m, 15m (4) 25m, 5m
Answer: (3)
Solution: Let the side of the first square = x m.
side of the second square be y m.
x2 + y2 = 625
4x – 4y = 20
4(x – y) = 20
x – y = 5
y = x – 5
x2 + (x – 5)2 = 625
x2 + x2 – 10x + 25 = 625
2x2 – 10x + 25 – 625 = 0
2x2 – 10x – 600 = 0
2(x2 – 5x – 300) = 0
x2 – 5x – 300 = 0
x2 – 20x + 15x – 300 = 0
x(x – 20) + 15(x – 20) = 0
(x – 20) (x + 15) = 0
x = 20 or x = – 15
The side of the square cannot be negative
x = 20
y = 20 – 5 = 15
∴ sides of the squares are 20m, 15m
4. The discriminant of the quadratic equation 3x2 − 2x + 1 /3 = 0 is:
3x2 − 2x + 1 /3 = 0 అను వర్గ సమీకరణము యొక్క విచక్షణి:
(1) 32 (2) 16 (3) 0 (4) 1
Answer: (3)
Solution: Given QE is 3x2 − 2x + 1 /3 = 0.
a = 3, b = – 3, c = 1/3
b2 – 4ac = (− 2)2 – 4(3) (1/3)
= 4 – 4 = 0
Progressions
1. Which term of the A.P.: 20, 18, 16, … is ‘− 80 ‘?
20, 18, 16, … అనే అంకశ్రేఢిలో ‘− 80 ‘ ఎన్నవ పదము?
(1) 50 (2) 51 (3) 52 (4) 53
Answer: (2)
Solution: Given A.P. is 20, 18, 16, … is
a = 20, d = 18 – 20 = – 2
an = − 80
⟹ a + (n – 1) d = − 80
20 + (n – 1) (– 2) = − 80
20 – 2n + 2 = − 80
22 – 2n = − 80
– 2n = − 80 – 22
– 2n = − 102
n = 51
2. How many two-digit numbers are divisible by 3?
3 చే భాగించబడే రెండంకెల సంఖ్యలు ఎన్ని?
(1) 25 (2) 28 (3) 30 (4) 36
Answer: (3)
Solution: Two-digit numbers divisible by 3 are: 12, 15, 18,…..,99
Aa = 12, d = 15 – 12 = 3
an = 99
a + (n – 1) d = 99
12 +(n – 1) (3) = 99
12 + 3n – 3 = 99
9 + 3n= 99
3n= 99 – 9
3n= 90
n= 30
3. In a G. P. the 3rd is 24 and 6th is 192, then the 10th term is
ఒక గుణశ్రేఢిలో 3 వ పదము ’24’ మరియు 6 వ పదము ‘192’ అయిన, 10 వ పదము
(1) 2072 (2) 3072 (3) 1072 (4) 1672
Answer: (2)
Solution: Given In G.P. 3rd term = 24
⟹ ar2 = 24 ——– (1)
6th term = 192
⟹ ar5 = 192——– (2)
(2) ÷ (1)
ar5/ ar2= 192/24
r3 = 8 = (2)3
r = 2
a(2)2 = 24
a(4) = 24
a = 6
10th term = ar9
= 6 × 29
= 3 × 210
= 3 × 1024
= 3072
10th term of given G.P. is 3072
4. The common ratio of G. P.: 25, − 5, 1, − 1/ 5, … is
25, − 5, 1, − 1/ 5, … అను గుణశ్రేఢి యొక్క సామాన్య నిష్పత్తి
(1) − 1/ 5 (2) 1/ 5 (3) 2/ 5 (4) 3/ 5
Answer: (1)
Solution:
Given G.P. is 25, − 5, 1, − 1/ 5, …
Common ratio = a2/a1= − 5/ 25 = − 1/ 5
Coordinate Geometry
1. The distance between the points (x1, y1) and (x2, y2) is
(x1, y1) మరియు (x2, y2) బిందువుల మధ్య దూరము కనుగొనుటకు సూత్రము
Answer: (1)
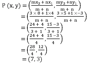
2. The coordinates of the point which divides the line segment joining the points (4, − 3) and (8, 5) in the ratio 3:1 internally is
బిందువులు (4, − 3) మరియు (8, 5) లచే ఏర్పడు రేఖాఖండమును 3:1 నిష్పత్తిలో అంతరంగా విభజించు బిందువు నిరూపకాలు (4, –8) మరియు (5, –2) బిందువుల మధ్య దూరం ఎంత?
(1) (3, 7) (2)(7, 3) (3) (– 7, –3) (4) (–3, –7)
Answer: (2)
Solution: Given points are (4, − 3), (8, 5)
Let P (x, y) divide the line segment joining the points (4, 3), (8, 5)in the ratio 3:1

3. Centroid of the triangle with vertices (1, − 1), (0, 6) and (− 3, 0) is
బిందువులు 1, − 1), (0, 6) మరియు (− 3, 0) లు శీర్షాలుగా గల త్రిభుజము యొక్క గురుత్వ కేంద్రము
(1) (2/3, 5/3) (2) (− 2/3, − 5/3)
(3) (− 2/3, 5/3) (4) (2/3, − 5/3)
Answer: (3)
Solution: given points are (1, − 1), (0, 6) and (− 3, 0)

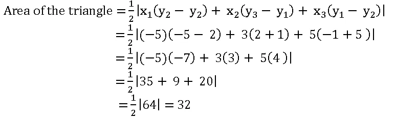
4. Area of the triangle formed by the points (− 5, − 1), (3, − 5) and (5, 2) is:
(− 5, − 1), (3, − 5) మరియు (5, 2) అనే బిందువులతో ఏర్పడు త్రిభుజ వైశాల్యము:
(1) 32 (2) 22 (3) 42 (4) 52
Answer: (1)
Solution: Given Points are(− 5, − 1), (3, − 5) and (5, 2)

Similar Triangles
1. In ∆ABC, DE∥BC. If AE/EC = 3/5 and AB = 5.6cm, then AD =
∆ABC లో DE∥BC, AE/EC = 3/5 మరియు AB = 5.6 సెం.మీ. అయిన AD =

(1) 2.8 cm (2) 2.1 cm (3) 3 cm (4) 2.4cm
Answer: (2)
Solution: Given ∆ABC, DE∥BC, AE/EC = 3/5 and AB = 5.6cm
Let AD = x ⟹BD = AB – AD = 5.6 – x
By B.P.T

⟹ 5x = 3(5.6 – x)
⟹ 5x = 16.8 – 3x
⟹ 8x = 16.8
⟹ x = 2.1
⟹ AD = 2.1 cm
2.In ∆ABC, DE∥BC. If AD = x, DB = x – 2, AE = x + 2 and EC = x – 1, then the value of x is
∆ABC లో DE∥BC, AD = x, DB = x – 2, AE = x + 2 మరియు EC = x – 1అయిన x విలువ

(1) 3 (2) 2 (3) 1 (4) 4
Answer: (4)
Solution: Given ∆ABC, DE∥BC, AD = x, DB = x – 2, AE = x + 2 and EC = x – 1
Let AD = x ⟹BD = AB – AD = 5.6 – x
By B.P.T

⟹ x (x – 1) = (x + 2) (x – 2)
⟹ x2 – x = x2 – 4
⟹ – x = – 4
⟹ x = 4
3. A girl of height 90cm is walking away from the base of a lamp post at a speed of 120cm/ sec. If the lamp post is 360cm above the ground, then the length of her shadow after 4 seconds is:
90 సెం.మీ. ఎత్తు గల ఒక బాలిక దీపస్తంభము నుండి దూరముగా 120 సెం.మీ./సె. వేగముతో నడుచుచున్నది. దీపస్తంభము ఎత్తు 360 సెం.మీ. అయిన, 4 సెకండ్ల తరువాత ఏర్పడే ఆ బాలిక నీడ పొడవు:
(1) 90 cm (2) 120 cm (3) 160 cm (4) 180 cm
Answer: (3)
Solution:

Given height of lamp post = AB = 120 cm
Height of girl = CE = 90 cm
Speed of the girl = 120cm/ sec
Time = 4 seconds
Distance covered by the girl in 4 second = 120 × 4 = 480cm
⟹ BC = 480cm and let CD = x
Clearly ∆ ABD ~ ∆ ECD

360x = 90 (x + 480)
360x = 90x + 43200
270x = 43200
x = 160 cm
4. If the ratio of corresponding sides of two similar triangles is 2∶3 , then the ratio of areas of these triangles is:
రెండు స్వరూప త్రిభుజాల అనురూప భుజాల నిష్పత్తి 2 ∶ 3 అయితే, ఈ త్రిభుజాల వైశాల్యాల నిష్పత్తి:
(1) 2:3 (2) √2:√3 (3) 4:9 (4) 16:81
Answer: (3)
Solution: Given the ratio of corresponding sides of two similar triangles is 2∶3
ratio of two similar triangles = (2/3)2 = 4/9 = 4:9
5. If ABC is a right triangle right angled at ‘C’ and let BC = a CA = b, AB = c and let p be the length of perpendicular from C on AB, then:
లంబకోణ త్రిభుజము ABC లో లంబకోణము శీర్షము ‘C’ వద్ద కలదు. BC = a CA = b, AB = c మరియు ‘c’ నుండి AB కి గీసిన లంబము పొడవు p అయిన:
(1) cp = ab (2) 1/p2 = 1/a2 – 1/b2 (3) a2 + b2 = p2 (4) None
Answer: (1)
Solution:

Ar(∆ABC) = 1/2× AC × BC = 1/2 ab——– (1)
And also, Ar(∆ABC) = 1/2× cp——– (2)
From (1) and (2)
ab = cp——– (3)
AB2 = BC2 + AC2
c2 = a2 + b2
(ab/p)2 = a2 + b2
(ab)2/p2 = a2 + b2
1/p2 = (a2 + b2)/a2b2
1/p2 = 1/a2 + 1/b2
6. If the areas of two similar triangles are 81cm2 and 49cm2 If the altitude of the smaller triangle is 3.5cm, then the corresponding altitude of the bigger triangle is:
రెండు స్వరూప త్రిభుజాల వైశాల్యాలు 81 చ.సెం.మీ. మరియు 49 చ.సెం.మీ. చిన్న త్రిభుజములో గీసిన లంబము పొడవు 3.5 సెం.మీ. అయిన, పెద్ద త్రిభుజములో దాని అనురూప లంబము పొడవు:
(1) 9.5 cm (2) 9 cm (3) 7 cm (4) 4.5 cm
Answer: (4)
Solution:
Area of bigger triangle/Area of smaller triangle =
(Altitude of bigger triangle/ Altitude of smaller triangle)2
81/49 = (h/3.5)2
9/7 = h/3.5
(9 × 3.5)/7 = h
9 × 0.5 = h
4.5 = h
Tangents and Secants to a Circle
1. A tangent to a circle touches it in ______ point(s).
వృత్తానికి గీయబడిన స్పర్శరేఖ దానిని ______ బిందువు(ల) వద్ద స్పృశిస్తుంది.
(1) one (ఒక) (2) two (రెం డు) (3) three (మూడు) (4) infinite (అనంత)
Answer: (1)
2. There are exactly _______ tangents to a circle through a point outside the circle.
వృత్త బాహ్యంలో గల ఏదైనా బిందువు గుండా వృత్తానికి ఖచ్చితంగా _______ స్పర్శరేఖలు గీయగలము.
(1) Two (రెండు) (2) Three(మూడు)
(3) Infinite(అనంత) (4) None (ఏదీ కాదు)
Answer: (1)
3. The length of the tangent from a point 15cm away from the centre of a circle of radius 9 cm is _______.
9 సెం.మీ వ్యాసార్థము గల వృత్తానికి దాని కేంద్రం నుండి 15 సెం.మీ దూరములో ఒక బిందువు కలదు. అయిన, ఆ బిందువు నుండి వృత్తానికి గీయబడిన స్పర్శరేఖ పొడవు
(1) 15 cm (2) 13 cm (3) 11 cm (4) 12 cm
Answer: (4)
Solution:

BC2= AC2 + AB2
152 = 92 + AB2
225 = 81 + AB2
225 – 81 = AB2
144 = AB2
12 = AB
4. If AP and AQ are the two tangents to a circle with centre ‘O’, so that ∠POQ = 110∘, then ∠ PAQ =
క్రింది పటములో ‘O’ కేంద్రముగా గల వృత్తానికి, AP మరియు AQ లు రెండు స్పర్శరేఖలు మరియు ∠POQ = 110∘, అయిన, ∠ PAQ = _______.

(1) 600 (2) 700 (3) 800 (4) 900
Answer: (2)
Solution: We know that ∠POQ + ∠PAQ = 180∘
110∘ + ∠PAQ = 180∘
∠PAQ = 180∘ – 1100
∠PAQ = 70∘
5. If two concentric circles of radii 5 cm and 3 cm are drawn, then the length of the chord of the larger circle which touches the smaller circle is:
5 సెం.మీ. మరియు 3 సెం.మీ. వ్యాసార్థాలతో రెండు ఏక కేంద్ర వృత్తాలు గీయబడ్డాయి. అయిన, చిన్న వృత్తాన్ని స్పృశించే పెద్ద వృత్తం యొక్క జ్యా పొడవు:
(1) 4 cm (2) 6 cm (3) 8 cm (4) 10 cm
Answer: (3)
Solution:

In ∆AOP
OA2 = AP2 + OP2
52 = AP2 + 32
25 = AP2 + 9
25 – 9 = AP2
16 = AP2
4 = AP
AB = 2AP = 2(4) = 8
6. The area of a sector, whose radius is 7 cm with the angle720 is:(use 𝜋 = 2 2/ 7 )
వృత్త వ్యాసార్థము 7 సెం.మీ. మరియు సెక్టరు కోణము 720 అయిన, సెక్టరు వైశాల్యము: ( 𝜋 = 2 2/ 7 తీసుకొనుము)
(1) 38 cm2 (2) 30.8 cm2 (3) 28.8 cm2 (4) 57 cm2
Answer: (2)
Solution:
Given radius of sector = 7cm and angle = 720
Area of sector = (x/360) πr2
= (72/360) × 22/7 × (7)2
= 1/5 ×22/7 × 49
= 154/5 = 30.8 cm2
7. A chord of a circle of radius 4 cm is making an angle 600 at the center, then the length of the chord is ______.
4 సెం.మీ. వ్యాసార్థం కలిగిన వృత్తంలో ఒక జ్యా కేంద్రం వద్ద 600కోణం చేస్తుంది. అప్పుడు, ఆ జ్యా పొడవు ______.
(1) 1 cm (2) 2 cm (3) 3 cm (4) 4 cm
Answer: (4)
Solution:

In ∆OAB, OA = OB (radii of the circle)
∠OAB = ∠OBA = x
∠AOB = 600
∠OAB + ∠OBA + ∠AOB = 1800
x + x + 60 = 180
2x = 180 – 60 = 120
x = 60
∆OAB is an equilateral triangle
OA = OB = AB
AB = 4 cm
Mensuration
1. If a right circular cylinder has base radius 14 cm and height 21cm , then its curved surface area is: (use π = 22/ 7 )
ఒక క్రమ వృత్తాకార స్థూపము యొక్క భూవ్యాసార్థము 14 సెం.మీ. మరియు ఎత్తు 21 సెం.మీ. అయిన, ఆ స్థూపము వక్రతల వైశాల్యము: ( 𝜋 = 22 /7గా తీసుకొనుము)
(1) 924 cm2 (2) 2772 cm2
(3) 3080 cm2 (4) 1848 cm2
Answer: (4)
Solution:
Given radius of cylinder = r = 14 cm
Height of the cylinder = 21cm
CSA of cylinder = 2πrh
= 2(22/7) × 14 × 21
= 44 × 2 × 21
= 1848 cm2
2. The volume of a right circular cone with radius 6 cm and height 7 cm is: (use𝜋 =22/ 7)
6 సెం.మీ. భూవ్యాసార్థము మరియు 7 సెం.మీ. ఎత్తు కలిగిన ఒక క్రమ వృత్తాకార శంఖువు యొక్క ఘనపరిమాణము: ( 𝜋 =22/7అని తీసుకొనుము)
(1) 264 cm3 (2) 792 cm3 (3) 301 cm3 (4) 616 cm3
Answer: (1)
Solution:
Radius of cone 6 cm
Height of cone = 7 cm
Volume of cone = (1/3) πr2h
= (1/3) (22/7) (6)2 (7)
= (1/3) (22/7) (36) (7)
= 22 × 12
= 264 cm3
3. If a cylinder and a cone have bases of equal radii and are of equal heights, then their volumes are in the ratio of ______.
ఒక స్థూపము మరియు శంఖువు సమాన భూవ్యాసార్థమును మరియు ఎత్తును కలిగి ఉన్నాయి. అయినచో, వాటి ఘనపరిమాణముల నిష్పత్తి ______.
(1) 1:2 (2) 2:3 (3) 3:1 (4) 1:4
Answer: (3)
Solution: Given a cylinder and a cone that have bases of equal radius and are of equal heights
Ratio of volumes of cylinder and cone = πr2h : 1/3 πr2h
= 1:1/3
= 3:1
4. If two cubes each of volume 64 cm3 are joined end to end together, then the surface area of the resulting cuboid is ______.
64 ఘనపు సెం.మీ. ఘనపరిమాణము గల రెండు సమఘనములు అంచులు తాకునట్లు అమర్చబడినవి. అయిన, ఏర్పడిన కొత్త ఘనాకృతి యొక్క సంపూర్ణతల వైశాల్యము ______.
(1) 28 cm2 (2) 160 cm2 (3) 192 cm2 (4) 384 cm2
Answer: (2)
Solution: Given volume of cube = 64
a3 = 64
a = 4

now length of cuboid = 4 + 4 = 8cm
breadth cuboid = 4 cm
height of cuboid = 4cm
TSA of cuboid = 2(lb + bh + hl)
= 2(8 × 4 + 4 × 4 + 4 × 8)
= 2(32 + 16 + 32)
= 2(80)
= 160 cm2
Trigonometry
1. The value of sin2150 + cos 215
sin2150 + cos 2150 యొక్క విలువ = ____________
(1) 0 (2) 1 (3) 1/2 (4) 1/√2
Answer: (2)
Solution:
We know that sin2θ + cos 2θ = 1
∴ sin2150 + cos 215 = 1
2. If cosec θ + cot θ = k, then the value of cosec θ is
cosec θ + cot θ = k అయిన cosec θ యొక్క విలువ
(1) (k2 + 1)/2k (2) 0 (3) (k2 – 1)/ (k2 + 1) (4) 1/k
Answer: (1)
Solution:
Given cosec θ + cot θ = k ——–(1)
⟹ cosec θ – cot θ = 1/k ——–(2)
Add (1) and (2)
2cosec θ = k + 1/k
= (k2 + 1)/2k
3. If A, B and C are interior angles of triangle ABC, then the value of cos [ ( 𝐴 + 𝐵 )/2] is:
A, B మరియు C లు త్రిభుజం ABC లోని అంతర కోణాలైతే, cos [ ( 𝐴 + 𝐵 )/2] యొక్క విలువ:
(1) cos [ (𝐴 – 𝐵)/2] (2) sin[ ( 𝐴 + 𝐵 )/2]
(3) sin(C/2) (4) cos ( 𝐵 /2)
Answer: (3)
Solution: given that A, B and C are interior angles of ∆ ABC
A + B + C = 1800
A /2+ B/2 + C/2 = 1800/2
A /2+ B/2 + C/2 = 90
A /2+ B/2 = 90 – C/2
cos [ ( 𝐴 + 𝐵 )/2] = cos [ ( 90 – C)/2]
cos [ ( 𝐴 + 𝐵 )/2] = sin C/2
4. The value of cos 540 cos 360 – sin 540 sin 360 is
cos 540 cos 360 – sin 540 sin 360 యొక్క విలువ
(1) 0 (2) 1 (3) √3/2 (4) 1/√2
Answer: (1)
Solution:
We know that cos A cos B – sin A sin B = cos (A + B)
cos 540cos 360 – sin 540 sin 360 = cos (54 + 36)
= cos (90)
= 0
Application of Trigonometry
1. A boy observed the top of an electric pole at an angle of elevation of 600 when the observation point is 6 m away from the foot of the pole, then the height of the pole is:
ఒక బాలుడు ఒక విద్యుత్ స్తంభం అడుగు భాగం నుండి 6 మీ. దూరంలో ఉన్న బిందువు నుండి విద్యుత్ స్తంభం పై భాగాన్ని 600 ఊర్ధ్వ కోణంతో పరిశీలించిన, ఆ స్తంభం ఎత్తు:
(1) 6m (2) 6√2 m (3) 6√3 m (4) 6/√3 m
Answer: (3)
Solution:

tan 600= AB/BC
√3 = AB/6
AB = 6√3
2. From a helicopter a person observes an object on the ground at an angle of depression 300. If the helicopter is flying at a height of 500m from the ground, then the distance between the person and the object is:
ఒక హెలికాప్టర్ నుండి ఒక వ్యక్తి భూమిపైనున్న ఒక వస్తువును 300 నిమ్నకోణంలో పరిశీలించాడు. భూమిపై నుండి హెలికాప్టర్ 500 మీ. ఎత్తులో ఎగురుతూ ఉంటే, వ్యక్తికి మరియు వస్తువుకు మధ్య దూరము:
(1) 500m (2) 1000m (3) 500√2 (4) 500/√3
Answer: (2)
Solution:

Sin 300 = AB/AC
1/2 = 500/AC
⟹ AC = 1000 m
3. Two boys on either side of a temple of 45 meters height observe its top at the angles of elevation 300 and 600 Find the distance between the two boys?
45 మీ. ఎత్తుగల ఒక గుడి పై భాగాన్ని, దాని ఇరువైపులా ఉన్న ఇద్దరు బాలురు 300 మరియు 600 ఊర్థ్వ కోణాలతో పరిశీలించారు. ఆ ఇద్దరు బాలుర మధ్య దూరం ఎంత?
(1) 60√3 (2) 40√3 3) 60/√3 (4) 40/√3
Answer: (1)
Solution:

In ∆ABD, tan 300 = AD/BD
1/√3 = 45/x
x= 45√3
In ∆ADC, tan 600 = AD/BD
√3 = 45/y
y= 45/√3
y= 15√3
Distance between two boys = x + y
= 45√3 + 15√3
= 60√3
Probability
1. Two dice are thrown at the same time. What is the probability that the sum of the two numbers appearing on the top of the dice is 13?
రెండు పాచికలు ఒకేసారి దొర్లించడం జరిగింది. రెండు పాచికలపై కనిపించే చుక్కల మొత్తం 13 అవ్వడానికి సంభావ్యత ఎంత?
(1) 1 (2) 1/2 3) 2/3 (4) 0
Answer: (4)
Solution:
Max Sum = 6 + 6 = 12
There is no combination of numbers, the sum of the two numbers appearing on the top of the dice is 13

So, this is an impossible event
Probability is 0
2. One card is selected from a well-shuffled deck of 52 cards, the probability of getting the queen of diamond is:
బాగా కలిపిన 52 పేక ముక్కల కట్ట నుండి యాదృచ్ఛికంగా ఒక కార్డును తీస్తే, అది డైమండ్ రాణి కావడానికి సంభావ్యత:
(1) 1/52 (2) 3/26 (3) 1/26 (4) 1/13
Answer: (1)
Solution: number of cards = 52
Let E be the event of getting a queen of diamonds
n(E) = 1
p(E) = 1/52
3. A Kiddy bank contains one hundred 50 paise coins, fifty ₹1 coins, twenty ₹2 coins and ten ₹5 coins. If one of the coins will fall out when the bank is turned upside down, what is the probability that the coin is ₹5 coin?
ఒక కిడ్డీ బ్యాంక్ డబ్బాలో వంద 50 పైసల నాణెములు, యాభై ₹1 నాణెములు, ఇరవై ₹2 నాణెములు మరియు పది ₹5 నాణెములు ఉన్నాయి. డబ్బాను తలక్రిందులు చేసినప్పుడల్లా యాదృచ్ఛికంగా ఒక నాణెం పడుతుంటే, అది ₹5 నాణెం కావడానికి సంభావ్యత ఎంత?
(1) 5/9 (2) 5/18 (3) 1/9 (4) 1/18
Answer: (4)
Solution: number of 50 paise coins = 100
number of ₹1 paise coins = 50
number of ₹2 paise coins = 20
number of ₹5 paise coins = 10
total number of coins = 180
probability of getting ₹5 coin = 10/180 = 1/18
Statistics
1. Rain fall of a town in a week is 4 cm, 5 cm, 12 cm, 3 cm, 6 cm, 8 cm and 4 cm, then the average rainfall per day is:
ఒక వారంలో ఒక పట్టణపు వర్షపాతం 4 సెం.మీ., 5 సెం.మీ., 12 సెం.మీ., 3 సెం.మీ., 6 సెం.మీ., 8 సెం.మీ. మరియు 4 సెం.మీ. అయిన, ఒక రోజులో సరాసరి వర్షపాతము:
(1) 4cm (2) 5cm (3) 6cm (4) 7cm
Answer: (3)
Solution:
Average rain fall = (4 + 5 + 12 + 3 + 6 + 8 + 4)/7
= 42/7 = 6
2. Which of the following is not a formula for arithmetic mean?
ఈ క్రింది వానిలో అంకగణిత సగటునకు సూత్రము కానిది ఏది?

Answer: (4)
3. Mode of the data 9, 10, 19, 7, 11, 5, 6, 7, 8, 14, 10, 7, 6 is:
9, 10, 19, 7, 11, 5, 6, 7, 8, 14, 10, 7, 6 అనే దత్తాంశం యొక్క బాహుళకము:
(1) 6 (2) 7 (3) 10 (4) 19
Answer: (2)
4. In a grouped frequency distribution, the formula to find median is:
వర్గీకృత పౌనఃపున్య విభాజనానికి, మధ్యగతము సూత్రము:

Answer: (1)
5. The median of 75, 21, 56, 36, 81, 05 and 42 is:
75, 21, 56, 36, 81, 05 మరియు 42ల మధ్యగతము:
(1) 36 (2) 42 (3) 56 (4) 21
Answer: (2)
Solution: Given data is 75, 21, 56, 36, 81, 05 and 42
A.O: 05, 21, 36, 42, 56, 75, 81
n = 7
Median = (n+1)/2 th observation
= 4th observation = 42
YouTube
TG POLYCET 2024 Maths Question Paper with Solutions.



