TS POLYCET 2022 Solutions – Complete Questions Explained Simply
TS POLYCET 2022 Solutions-Preparing for TS POLYCET can feel overwhelming, especially when you’re unsure about the type of questions that might appear. The TS POLYCET 2022 paper gave students a balanced mix of easy, moderate, and a few tricky questions—testing not just knowledge, but confidence and time management.
Why Solutions Matter
Going through solutions is not just about checking answers; it’s about understanding how to approach a problem. Many students realise that even difficult questions become easy when broken into simple steps.
Smart Preparation Tip
Instead of memorising formulas blindly, focus on understanding concepts. Practice TS POLYCET 2022 to improve speed and accuracy. Start with easy questions in the exam, then move to tougher ones.
Final Thought
TS POLYCET is not about solving every question perfectly—it’s about staying calm, thinking clearly, and doing your best. With the right approach, even a challenging paper can turn into an opportunity.
Real Numbers
1. If the H.C.F. of any two numbers is equal to ‘1’ then those numbers are called as
(1) Coprime numbers (2) Prime numbers
(3) Irrational numbers (4) Rational numbers
రెండు సంఖ్యల యొక్క గ.సా.భా. ‘1’ అయిన, ఆ రెండు సంఖ్యలను ……. అంటారు.
(1) పరస్పర ప్రధాన సంఖ్యలు (2) ప్రధాన సంఖ్యలు
(3) కరణీయ సంఖ్యలు (4) అకరణీయ సంఖ్యలు
Answer: (2)
Solution: We know that the HCF of Prime numbers is always 1
2. The number ‘π’ is a
(1) Natural number (2) Rational number
(3) Integer (4) Irrational number
‘π’ is అనునది ఒక
(1) సహజ సంఖ్య (2) అకరణీయ సంఖ్య
(3) పూర్ణ సంఖ్య (4) కరణీయ సంఖ్య
Answer: (2)
Solution: π is an irrational number
3. The base of common logarithm is
సంవర్గమానాల ప్రామాణిక ఆధారం
(1) 2 (2) 5 (3) 10 (4) 1
Answer: (3)
Solution: The base of the common logarithm is 10
4. √p + √q is an irrational number, where p and q are
(1) Even numbers (2) Prime numbers
(3) Rational numbers (4) None
√p + √q కరణీయ సంఖ్య అయిన, P, qలు
(1) సరి సంఖ్యలు (2) ప్రధాన సంఖ్యలు
(3) అకరణీయ సంఖ్యలు (4) ఏది కాదు
Answer: (2)
Solution: √p + √q is an irrational number, where p, q are Prime numbers
5. The value of log2025(2025)
log2025(2025) యొక్క విలువ
(1) 0 (2) 1 (3) 2 (4) 3
Answer: (2)
Solution: We know that loga(a) = 1
log2025(2025)= 1
TS POLYCET 2022 Solutions
Sets
1. If A={a, b, c, d} then number of subsets of A are
A= {a,b,c, d} అయిన, A కు గల ఉపసమితుల సంఖ్య
(1) 8 (2) 12 (3) 16 (4) 20
Answer: (3)
Solution: Given A = {a, b, c, d}
The number of elements in the set A are: n = 4
Number of subsets of A = 2n
= 24 = 16
2. Which of the following is true?
క్రింది వానిలో ఏది సత్యం ?
(1) ф=0 (2) n(ф)=0 (3) ф={0} (4) n(ф’)= 0
Answer: (2)
Solution: We know that the number of elements in an empty set = 0
∴ n(ф)=0
Polynomials
1. The zeroes of the quadratic polynomial 4y2 + 8y
4y2 + 8y అనే వర్గ బహుపదీ శూన్యాలు
(1) 0, 4 (2) 0, 2 (3) 0, 6 (4) 0, – 2
Answer: (4)
Solution: Let p(y) = 4y2 + 8y
For the zeroes of the polynomial p(y) = 0
4y2 + 8y = 0
4y(y + 2) = 0
⟹ y = 0 or y + 2 = 0
y = 0 or y = – 2
2. If sum and product of zeroes of a Quadratic polynomial are 1, 1 respectively, then its corresponding quadratic polynomial is
ఒక వర్గ బహుపది యొక్క శూన్యాల మొత్తం మరియు శూన్యాల లబ్ధం వరుసగా 1, 1 అయిన, ఆ వర్గ బహుపది ఏది ?
(1) x2 – x + 1 (2) x² + x + 1
(3) x2 + x – 2 (4) x2 – x + 2
Answer: (1)
Solution: Given α + β = 1 and αβ = 1
Quadratic polynomial is x2 – (α + β)x + αβ
= x2 – (1)x + 1
= x2 – x + 1
TS POLYCET 2022 Solutions
Linear equations in Two Variables
1. The pair of equations x =0 and x=5 has
(1) Unique solution (2) Infinitely many solutions
(3) Two solutions (4) No solution
x = 0 మరియు x = 5 అను సమీకరణాల జత కలిగి ఉండే సాధనలు
(1) ఏకైక సాధన కలిగి ఉంటాయి (2) అనంతమైన సాధనలు కలిగి ఉంటాయి
(3) రెండు సాధనలను కలిగి ఉంటాయి (4) ఎటువంటి సాధనలు కలిగి ఉండవు
Answer: (4)
Solution: x = 0 is the equation of the Y–axis
x = 5 is the line which is parallel to the Y–axis
Given lines are parallel to each other
∴ They have no solution
2, The pair of equations x + y = 7, 9x – 10y =12, represents the following
(1) Parallel lines (2) No solution
3) Infinitely many solutions (4) One solution
x + y = 7, 9x – 10y = 12 రేఖా సమీకరణాల జత, క్రింది దానిని సూచించును.
(1) సమాంతర రేఖలు (2) సాధన లేదు
(3) అనంతమైన సాధనలుంటాయి (4) ఏకైక సాధన
Answer: (4)
Solution: Given equations are x + y = 7, 9x – 10y =12
a1 = ; b1 = ; c1 = 7
a2 = 9; b2 = – 10; c2 = 12

Given equations have a unique solution
3, The pair of equations 3x +4y= k and 9x + 12y = 6 has infinitely many solutions if k =
3x + 4y = k_మరియు 9x + 12y = 6 సమీకరణాల జత, అనంతమైన సాధనలు కలిగి ఉండాలి అనిన k =
(1) 3 (2) 2 (3) 6 (4) 5
Answer: (2)
Solution: Given equations are 3x +4y= k and 9x + 12y = 6
a1 = 3; b1 = 4; c1 = k
a2 = 9; b2 = 12; c2 = 6
The given equations have infinitely many solutions
k =2
4. If the given lines 2x + ky = 1 and 3x – 5y = 7 are parallel, then the value of k is
2x + ky = 1 మరియు 3x – 5y = 7 లు సమాంతర రేఖలు అయిన, k విలువ
(1) – 7 (2) 10 /3 (3) – 13 (4) – 10/3
Answer: (4)
Solution:
Given equations are 2x + ky = 1 and 3x – 5y = 7
a1 = 2; b1 = k; c1 = 1
a2 = 3; b2 = – 5; c2 = 7
The given equations are parallel

k = – 10/3
5. If in the equation x + 3y = 10, the value of y is ‘4’, then the value of x will be
x + 3y = 10 సమీకరణంలో y యొక్క విలువ ‘4’ అయిన, x విలువ
(1) –2 (2) 2 (3) 4 (4) 5
Answer: (1)
Solution: Given equation is x + 3y = 10 and y = 4
x + 3(4) = 10
x + 12 = 10
x = 10 – 12 = – 2
6.
then the lines are
(1) Unique solution (2) Coincident
(3) Infinitely many solutions (4) No solutions
అయిన, ఆ రేఖలు
(1) ఏకైక సాధన కలిగి ఉంటాయి (2) ఏకీభవిస్తాయి
(3) అనంతమైన సాధనలు కలిగి ఉంటాయి (4) సాధన లేదు
Answer: (4)
Solution: ![]()
Given equations have no solution
Quadratic Equations
1. The sum of roots of a quadratic equation 3x2 – 7x+11=0 is
3x2 – 7x+11 = 0 వర్గ సమీకరణము యొక్క మూలాల మొత్తము
(1) 7/3 (2) –7/3 (3) 3/7 (4) – 3/7
Answer: (1)
Solution: Given Equation is 3x2 – 7x+11=0
a = 3, b = – 7, c = 11
sum of the roots = –b/a
sum of the roots = –(–7)/3 = 7/3
2. The roots of a quadratic equation x2 – 3x – 10 = 0 are
x2 – 3x – 10 = 0 వర్గ సమీకరణము యొక్క మూలాలు
(1) -5,2 (2) 5, 2 (3) -2, 5 (4)-2,-5
Answer: (3)
Solution: x2 – 3x – 10 = 0
x2 – 5x + 2x – 10 = 0
x(x – 5)+2(x –5) = 0
(x – 5)(x + 2) = 0
x = –2, 5
3. The degree of a quadratic equation ax² + bx + c = 0, a≠0 is
ax² + bx + c= 0, 0 వర్గ సమీకరణము యొక్క పరిమాణము
(1) 1 (2) 2 (3) 3 (4) 4
Answer: (2)
4. If α, β are the roots of a quadratic equation ax²+ bx + c=0, a≠0 then α2 + β2 =
ax²+ bx + c=0, వర్గ సమీకరణము యొక్క మూలాలు α , β లు అయిన, α2 + β2 =

Answer: (4)
Solution: ax² + bx + c = 0
α + β = –b/a and αβ = c/a
α2 + β2 = (α + β)2 – 2 αβ
α2 + β2 = (–b/a)2 – 2 (c/a)
α2 + β2 = (b)2/(a)2 – (2c/a)
α2 + β2 = (b)2/(a)2 – (2c/a)
α2 + β2 = (b2 – 2ac)/a2
5. If a quadratic equation 2x2+ kx + 3=0 have two equal roots then k =
2x2+ kx + 3=0 వర్గ సమీకరణము యొక్క మూలాలు సమానములైన k =
(1) ±6√2 (2) ±2√3 (3) ±2√6 (4) ±3√2
Answer: (3)
Solution: 2x2+ kx + 3=0
a = 2, b = k, c = 3
The given equation has equal roots
b2 – 4ac = 0
k2 – 4(2)(3) = 0
k2 – 24 = 0
k2 = 24 ⟹ k = ±√24 = ±2√6
6. If the equation ax2 – 8x + 4 = 0 has equal roots then a =
ax2 – 8x + 4 = 0 సమీకరణం యొక్క మూలాలు సమానమైన ‘a’ విలువ
(1) 2 (2) 3 (3) 4 (4) 5
Answer: (3)
Solution: ax2 – 8x + 4 = 0
a = a, b = – 8, c = 4
The given equation has equal roots
b2 – 4ac = 0
(– 8)2 – 4(a)(4) = 0
64 – 16a = 0
16a = 64 ⟹ a = 4
TS POLYCET 2022 Solutions
Progressions
1. The sum of first ‘n’ natural numbers is
మొదటి ” సహజ సంఖ్యల మొత్తము

Answer: (2)
Solution: Sum of first ‘n’ natural numbers is =![]()
2. How many two-digit numbers are divisible by 3?
3 చే భాగించబడే రెండంకెల సంఖ్యలు ఎన్ని ?
(1) 30 (2) 35 (3) 40 (4) 45
Answer: (1)
Solution: The two-digit numbers divisible by 3 are as follows:
12, 15, 18, 21, …., 99
a = 12 and d = 3
an = 99
an = a + (n – 1)d
⇒ 99 = 12 + (n – 1) × 3
⇒ 87 = 3n – 3
⇒ 3n = 90 ⇒ n = 30
3. In an A.P. if the first term is 4 and 9th term is 20 then 15th term is
ఒక అంకశ్రేడి యొక్క మొదటి పదము 4 మరియు 9 వ పదము 20 అయిన 15 వ పదము ఎంత?
(1) 16 (2) 32 (3) 18 (4) 36
Answer: (2)
Solution: Given a = 4, a9 = 20
a + 8d = 20
4 + 8d = 20
8d = 16
d = 2
a15 = a + 14d
a15 = 4 + 14(2)
a15 = 4 + 28
a15 = 32
4. The sum of 10 terms of A.P. : 2, 7, 12,……….
2, 7, 12, అంకశ్రేఢిలోని 10 పదాల మొత్తము ఎంత?
(1) 340 (2) 345 (3) 240 (4) 245
Answer: (4)
Solution: Given AP is 2, 7, 12,……….
a = 2, d = 7 – 2 = 5
S10 = 10/2[2(2) + 9(5)]
= 5[4 + 45]
= 5[49] = 245
Coordinate Geometry
1. The slope of the line which makes 3π/4 angle with the positive direction of X – Axis is
X-అక్షం యొక్క ధనాత్మక దిశతో 3π/4 కోణాన్ని చేసే రేఖ యొక్క వాలు
(1) –1 (2) 0 (3) 1 (4) 2
Answer: (1)
Solution: We know that slope m = tan θ
m = tan(3π/4)
m = –tan(π/4) = – 1
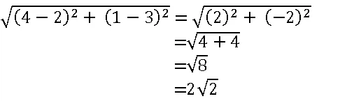
2. The distance between the points (2, 3) and (4, 1) is
( 2, 3) మరియు (4, 1) బిందువుల మధ్య దూరం ఎంత?
( 1) 2 (2) √2 (3) 3 √2 (4) 2 √2
Answer: (4)
Solution:

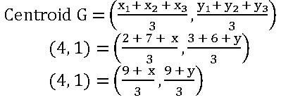
3. The centroid of the triangle is (4, 1) and two vertices are (2, 3) and (7, 6) then the third vertex is
ఒక త్రిభుజ గురుత్వ కేంద్రం (4, 1) మరియు దాని రెండు శీర్షాలు (2, 3) మరియు (7, 6) అయిన మూడవ శీర్షం?
(1) (3, 6) (2) (– 3, 6) (3) (– 3, – 6) (4) (3, – 6)
Answer: (4)
Solution: Let third vertex = (x, y)
9 + x = 12, 9 + y = 3
x = 3, y = – 6
∴ Third vertex is (3, – 6)
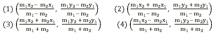
4. If a point P(x, y) divides the line segment joining points A(x1, y1)and B(x2, y2) internally in the ratio m1 : m2 then P(x, y) =
A(x1, y1)మరియు B(x2, y2) బిందువులతో ఏర్పడు రేఖా ఖండాన్ని m1 : m2 నిష్పత్తిలో అంతరంగా విభజించు బిందువు P(x, y) యొక్క నిరూపకాలు

Answer: (3)
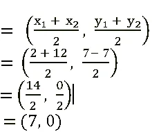
5. The mid-point of a line segment joining the points (2 , 7) and (12 , − 7) is
(1) (–7, 0) (2) (7, 0) (3) (0, – 7) (4) (0, 7)
Answer: (2)
Solution: Midpoint

Similar Triangles
1. In the below figure If ∆ PQR ~∆ ABC then z + y =
కింది పటం నుండి ∆ PQR ~∆ ABC అయిన z + y =

(1) 1 + 3√3 (2) 9 + √3 (3) 7 + 3√3 (4) 4 + 3√3
Answer: (4)
Solution: ∆ PQR ~∆ ABC
⟹ y = 3√3, z = 4
z + y = 4 + 3√3
2. If ∆ ABC ~ ∆ PQR; ∠P = 600, ∠Q = 750, then ∠A =
If ∆ ABC ~ ∆ PQR; ∠P = 600, ∠Q = 750, అయిన ∠A =
(1) 900 (2) 750 (3) 400 (4) 600
Answer: (4)
Solution: Given ∆ ABC ~ ∆ PQR ⟹ ∠A =∠P = 600
3. From the figure below, the value of ‘x’ is

(1) 11 (2) 12.83 (3) 14 (4) 25
Answer: (1)
Solution: Clearly ∆ ABC ~ ∆ EDC

x = 11
4. In the below figure ∆ RST ~ ∆ RBA then the value of x is
కింది పటం నుండి ∆ RST ~ ∆ RBA అయిన x విలువ

(1) 12 (2) 24 (3) 10 (4) 18
Answer: (1)
Solution: Given ∆ RST ~ ∆ RBA

RB2 + 2RB = 48
RB2 + 2RB – 48 = 0
RB2 + 8RB – 6B – 48 = 0
RB (RB + 8)– 6(RB + 8) = 0
(RB + 8) (RB – 6) = 0
RB = – 8 or RB = 6
Length is always positive
∴ RB = 6
6x = 72
x = 12
Tangents and Secants to a Circle
1. Calculate the length of the tangent from a point 15 cm away from the centre of a circle of radius 9 cm
9 సెం.మీ వ్యాసార్థం కలిగిన ఒక వృత్త కేంద్రం నుండి 15 సెం.మీ దూరంలో ఉన్న ఒక బిందువు నుండి గీసిన స్పర్శరేఖ పొడవును కనుగొనండి.
(1) 11 cm (2) 9cm (3)12 cm (4) 10 cm
Answer: (3)
Solution:

OP2 = OA2 + AP2
152 = 92 + AP2
225 = 91 + AP2
AP2 = 225 – 91 = 144
AP = 12
Length of the tangent = 12 cm
2. A circle touches the sides of a quadrilateral ABCD at points P, Q, R and S. Then, which of the following is true?
ఒక వృత్తం చతుర్భుజం ABCD యొక్క నాలుగు భుజాలను వరుసగా P, Q, R, S బిందువుల వద్ద తాకితే, క్రింది వాటిలో ఏది నిజం?
(1) AB + CD = AD + BC (2) AB + CD > AD + BC
(3) AB + CD < AD + BC (4) AB + BC = AD + DC
Answer: (1)
Solution:
A is the external point to the circle ⟹ AP = BP
Similarly, BQ = QC; CR = RD; DS = SA
Now AB + CD = AP + PB + CR + RD
= AS + BQ + CQ + DS
= AS + DS + BQ + CQ
= AD + BC
3. In the figure OB = 13 cm, OP ⊥ AB, OP = 12 cm then the value of AB is
పటం నుండి OB = 13 cm, OP ⊥ AB, OP = 12 cm అయిన AB విలువ

(1)100 cm (2) 50 cm (3) 75 cm (4) 10 cm
Answer: (4)
Solution:
In △OPB, ∠P = 900
OB2 = OP2 + BP2
132 = 122 + BP2
169 = 144 + BP2
169 – 144 = BP2
25 = BP2
BP = 5
AB = 2× BP = 2 × 5 = 10 cm
4. From the below figure the value of x is
క్రింది పటం నుండి, x విలువ

(1) 2021 cm (2) 2022 cm (3) 2220 cm (4) 2020 cm
Answer: (2)
Solution: We know that tangents drawn from external point to the circle are equal in length
AP = BP = 2022 cm
5. The angle between the tangent and radius drawn through the point of contact is
స్పర్శ బిందువు వద్ద వృత్త స్పర్శ రేఖతో దాని వ్యాసార్థం చేయు కోణం
(1) 1000 (2) 700 (3) 900 (4) 800
Answer: (3)
Solution:

The angle at tangent to a circle and radius drawn at the point of contact is 900
స్పర్శ బిందువు వద్ద వృత్త స్పర్శ రేఖతో దాని వ్యాసార్థం చేయు కోణం 900
6. RP and RQ are the two tangents to the circle with centre ‘O’ and ∠POQ = 1100, then ∠PRQ =
‘O’ కేంద్రంగా కలిగిన వృత్తానికి RP మరియు RQ అనేవి రెండు స్పర్శరేఖలు; ∠POQ = 110° అయితే, ∠PRQ =

(1) 700 (2) 900 (3) 350 (4) 1000
Answer: (1)
Solution:
We know that ∠POQ + ∠PRQ = 1800
1100 + ∠PRQ = 180
∠PRQ = 1800 – 1100
∠PRQ = 700
Mensuration
1. The curved surface area of a cylinder is 264m2 and its volume is 924m3 then height of the cylinder is
ఒక స్థూపం యొక్క వక్ర తల వైశాల్యం 264 చ. మీ. మరియు దాని ఘనపరిమాణం 924 ఘ. మీ. అయితే, ఆ స్థూపం ఎత్తు
(1) 3 m (2)8 m (3) 6 m (4) 4 m
Answer: (3)
Solution:
Given 2πrh = 264 and πr2h = 924

r = 7
22/7(7)h = 264 ⇒ h = 264/44 = 6m
2. Which vessel shown in the figure below can hold more water?
ఒక క్రింద ఇచ్చిన చిత్రంలో చూపిన పాత్రలలో, ఏది అత్యధిక నీటిని నిల్వ చేయగలదు?

(1) A (2) B (3) same in A and B (4) Not decided
Answer: (2)
Solution:
Given radius of Cylinder A = r = 1/2 cm
Height = h = 4 cm
radius of Cylinder B = r = 2 cm
Height = h = 1 cm
Volume of cylinder A = πr2h = (22/7) (1/2)2 4
= (22/7) (1/4) 4
= (22/7)= 3.14 cm2
Volume of cylinder B = πr2h = (22/7) (2)2 1
= (22/7) (4)
= 3.14 × 4 = 12.56 cm2
3. If the radius of a sphere is ‘2r’ then the volume will be
గోళం యొక్క వ్యాసార్థం 2r అయిన, దాని ఘన పరిమాణం
(1) 4/3 πr3 (2) 4πr3 (3) 8/3 πr3 (4) 32/3 πr3
Answer: (4)
Solution:
Given radius of sphere = 2r
Volume of sphere = 4/3(πr3)= 4/3 [π(2r)3]
= 4/3 [π (8r3)]
= 32/3[ π r3]
4. The radii of two cylinders are in the ratio 2:3 and their heights are in the ratio 5:3 then the ratio of their volumes is
రెండు స్తూపాల వ్యాసార్థాల నిష్పత్తి 2:3 మరియు వాటి ఎత్తుల నిష్పత్తి 5:3 అయిన వాటి ఘనపరిమాణాల నిష్పత్తి
(A) 20:27 (2) 40:50 (3) 20:30 (4) 50:30
Answer: (1)
Solution:
Given r1:r2 = 2:3 ⇒ r1/r2 = 2/3
h1:h2 = 5:3⇒ h1/h2 = 5/3
V1 : V2 = πr1 2h1: πr2 2h2
V1 / V2 = (πr1 2h1)/( πr2 2h2)
V1 / V2 = (r1 / r2) 2 (h1/h2)
V1 / V2 = (2 / 3)2 (5/3)
V1 / V2 = (4 / 9) (5/3)
V1 / V2 = 20 / 27
5. If the radius of the sphere is increased by 100% then the volume of resultant sphere is increased by
ఒక గోళం యొక్క వ్యాసార్థం 100 % పెంచిన, ఏర్పడు గోళం యొక్క ఘనపరిమాణం ఎంత పెరుగును?
(1) 200% (2) 700% (3)500% (4) 900%
Answer: (2)
Solution:
Let the radius of the sphere = r
Volume of sphere = V1 = 4/3(πr3)
The radius is increased 100%
New radius of sphere = R = r + 100% of r = r + r = 2r
Volume of New sphere = V2 = 4/3 [π(2r)3]
Volume of New sphere = V2 = 4/3π[8r3]
Volume of New sphere = V2 = 8[4/3(πr3)] = 8V1
Increasing in volume = V2 – V1 = 8V1 – V1 = 7V1
Increasing percentage in volume = [(7V1) / V1] × 100% = 700%
Trigonometry
1. If sin (A – B)=1/2 and cos (A + B) = 1/2 then ∠A, ∠B =?
sin (A – B) =1/2 మరియు cos (A + B) = 1/2 అయిన ∠A, ∠B =?
(1) 450, 150 (2) 150, 450 (3) 450, 300 (4) 300, 150
Answer: (1)
Solution:
Given sin (A – B)=1/2
A – B = 300
cos (A + B) = 1/2
A + B = 600
A + B + A – B = 600 + 300
2A = 900 ⇒ A = 450
A + B = 600
B = 600 – A
B = 600 – 450 = 150
2. If sin θ = cos θ (0<θ 900) then the value of tan θ = ____________
sin θ = cos θ (0<θ 900) అయిన, tan θ విలువ = ____________
(1) – 1 (2) 4 (3) 2 (4) 1
Answer: (4)
Solution:
Given sin θ = cos θ
⟹ θ = 450 (∵ sin 450 = cos 450 = 1/√2)
∴ tan 450 = 1
3. If tan (A – B) = 1/√3, cos A = 1/2 then ∠B =
tan (A – B) = 1/√3, cos A = ½ అయిన ∠B =
(1) 2π/3 (2) π/4 (3) π/6 (4) π/3
Answer: (3)
Solution:
Given tan (A – B) = 1/√3, cos A = 1/2
A – B = 300 and A = 600
600 – B = 300
B = 600 – 300
B = 300 = π/6
4. The value of is ![]()
యొక్క విలువ
(1) cos α (2) sin α (3) cosec α (4) sec α
Answer: (2)
Solution:
5. In the right triangle ∆ABC, ∠B = 900, tan C = 5/12 then the length of hypotenuse is
ఒక లంబకోణ త్రిభుజం ∆ABC లో ∠B = 900 , tan C = 5/12 అయిన ఆ త్రిభుజ కర్ణం పొడవు ఎంత?
(1) 16 (2) 13 (3) 21 (4) 17
Answer: (2)
Solution:

tan C = 5/12
AC2 = AB2 + BC2
= 52 + 122
= 25 + 144
= 169
AC = 13
6. If A = 450, B = 600, then sin A + cos B
A = 450, B = 600 అయిన sin A + cos B విలువ ఎంత?
![]()
Answer: (4)
Solution:
Given A = 450, B = 600
sin A + cos B = sin 450 + cos 600
![]()
Application of Trigonometry
1. The length of the shadow of a vertical pole is √3 times its original length. The angle of elevation to the sun is
ఒక టవర్ ఏర్పర్చు నీడ పొడవు, ఆ టవర్ పొడువుకు √3 రెట్లు అయిన, సూర్యునితో ఆ టవర్ చేయు ఊర్థ్వ కోణం?
(1) 300 (2) 450 (3) 600 (4) 900
Answer: (1)
Solution:

Given AB = h, BC =√3 h
In ∆ABC
Tan C = AB/BC
⟹ Tan C = h/√3h = 1/√3
C = 300
2. Find the length of a kite string flying at 100m above the ground with an elevation 600.
ఒక గాలి పటం భూమి నుండి 100 మీ. నిటారు ఎత్తులో ఎగురుచున్నది. దానికి కట్టిన దారము భూమి తొ 600 కోణము చేస్తున్న, దారం పొడవు ఎంత?
(1) 100/√3 (2) 50/√3 3) 200/√3 (4) 25/√3
Answer: (2)
Solution:

In ∆ADE
Sin 60 = AB/AC
⟹ √3/2 = 100/AC
AC = 200/√3
3. The tops of two poles are of height 20 m and 14 m are connected by a wire. If the wire makes an angle 300 with the horizontal, then the length of the wire is
20 మీ. మరియు 14 మీ. పొడవు గల రెండు స్తంబాల కొనాలని తాడుతో కలిపారు. ఆ తాడు క్షితిజ సమాంతర రేఖతో 300 కోణము చేసిన ఆ తాడు యొక్క పొడవు ఎంత?
(1) 11m (2) 12m 3) 13m (4) 10m
Answer: (2)
Solution:

Given Hight of two poles are AB = 20 m; ED = 14 m
AF = AB – BF = 20 – 14 = 6m
In ∆AEF
sin 300 = AF/AE
1/2 = 6/AE
AE = 12m
∴ Length of wire = 12 m
Probability
4. A bag contains ‘4’ black balls and ‘6’ red balls. If one ball is drawn at random, then the probability of getting a red ball is:
ఒక సంచిలో ‘4’ నలుపు మరియు ‘ 6’ ఎరుపు బంతులు కలవు. ఒక బంతిని యాదృచ్ఛికంగా తీయగా అది ఎరుపు బంతి అగుటకు గల సంభావ్యత ఎంత?
(1) 5/8 (2) 3/5 (3) 1/2 (4) 1/56
Answer: (2)
Solution:
total number of balls = 6 + 4 = 10
Number of red balls = 6
Probability = 6/10 = 3/5
5.Identify the correct statement
సరైన ప్రవచనాన్ని గుర్తించండి
(1) P(E) = – 1 (2) P(E) ≥ 1 (3) 0 ≤ P(E) ≤1 (4) None
Answer: (3)
Solution: Probability of an event lies between 0 and 1
6. When two dice are rolled, the probability of getting the same odd number on both dice is:
రెండు పాచికలను దొర్లించినప్పుడు, రెండింటిపై ఒకే బేసి సంఖ్య వచ్చే సంభావ్యత ఎంత?
(1) 1/12 (2) 1/18 (3) 1/15 (4) 1/16
Answer: (1)
Solution:
Possible Outcomes are:
(1, 1), (1, 2), (1, 3), (1, 4), (1, 5), (1, 6)
(2, 1), (2, 2), (2, 3), (2, 4), (2, 5), (2, 6)
(3, 1), (3, 2), (3, 3), (3, 4), (3, 5), (3, 6)
(4, 1), (4, 2), (4, 3), (4, 4), (4, 5), (4, 6)
(5, 1), (5, 2), (5, 3), (5, 4), (5, 5), (5, 6)
(6, 1), (6, 2), (6, 3), (6, 4), (6, 5), (6, 6)
So, the total number of outcomes = 6×6 = 36
There are 3 favourable outcomes: (1, 1), (3, 3), (5, 5)
Number of favourable outcomes = 3
∴ Probability of 5 will come up at least once = 3/36 = 1/12
Statistics
1. If the If mode = 29, mean = 32 then median = ______
బాహుళకము = 29, సగటు = 32 అయిన, మధ్యగతం =____
(1) 29.2 (2) 30 (3) 30.5 (4) 31
Answer: (4)
Solution:
Mode = 3(Median)−2(Mean)
29 = 3(Median)−2(32)
29 = 3(Median)− 64
29 + 64 = 3(Median)
Median = 93/3 = 31
2. The median of -4, -6, -5, 3, 0, 5 and 11 is
-4, -6, -5, 3, 0, 5 మరియు 11 ల మధ్యగతం:
(1) − 4 (2) −6 (3) 3 (4) 0
Answer: (4)
Solution:
Given data is -4, -6, -5, 3, 0, 5 and 11
AO: – 6, – 5, – 4, 0, 3, 5, 11
Median = 0
3.Average of 11 numbers is 10.5; If one of the numbers 9 is deleted, then the average of the remaining numbers is
11 సంఖ్యల సరాసరి 10.5; ఒకవేళ 9 అనే సంఖ్యను తొలగిస్తే, మిగిలిన సంఖ్యల సరాసరి:
(1) 10.1 (2) 10.5 (3) 9.5 (4) 10.65
Answer: (4)
Solution:
The average of 11 numbers is 10.5
Sum of the numbers = 11 × 10.5 = 115.5
9 is deleted from the numbers
Sum of remaining numbers = 115.5 – 9 = 106.5
New average = 106.5/10 = 10.65
YouTube



