Chapter 7: Coordinater Geometry
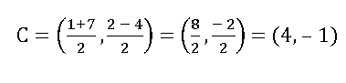
1.The centre of a circle with (1, 2) and (7, – 4), as end points of diameter is
(1, 2) మరియు (7, – 4) లు వ్యాసాగ్రాలు గా గల వృత్త కేంద్రం
(1) (– 4, 1) (2) (4, – 1)
(3) (–4, –1) (4) (4, 1)
Answer: (2)
2. Area of the triangle formed by the line x co
s α + y sin α = p with the coordinate
axes is
x cos α + y sin α = p రేఖ నిరూపక అక్షాలతో ఏర్పరిచే త్రిభుజ వైశాల్యం

Answer: (1)
3. The distance between the points (0, 0) and (5, 12) is
(0, 0) మరియు (5, 12) ల మధ్య దూరం
(1) 11 (2) 12
(3) 13 (4) 14
Answer: (3)
4. If the slope of the line through (x, 5) and (5, 2) is 3, then the value of x is
(x, 5) మరియు (5, 2) ల గుండా పోవు రేఖ వాలు 3 అయిన x విలువ
(1)3 (2) 4
(3) 5 (4) 6
Answer: (4)
<< Page 7 of 14 >>






