TS POLYCET 2023 Question Paper Solutions

TS POLYCET 2023 Solutions That Boost Confidence

TS POLYCET 2023 Solutions That Boost Confidence

Are you searching for accurate and easy-to-understand TS POLYCET 2023 Question Paper Solutions? This comprehensive guide is designed to help students master the exam with confidence.

Along with solutions, this post also includes a motivational storytelling approach that connects with students emotionally and encourages them to overcome exam fear. By practising these solutions, students can improve speed, accuracy, and problem-solving skills.

Whether you are revising concepts or preparing seriously for the next POLYCET exam, these TS POLYCET 2023 Question Paper Solutions will act as a powerful resource to guide your preparation and boost your performance.


Real Numbers

 

1. If ‘n’ is a prime number, then √n is

(1) Prime number          (2) Composite number

(3) Rational number      (4) irrational number

‘n’ అనేది ఓకే ప్రధాన సంక్య అయిన √n   అనేది

(1)  ప్రధాన సంఖ్య                             (2) సంయుక్త  సంఖ్య

(3) అకరణీయ సంఖ్య                   (4)  కరణీయ సంఖ్య

   Answer: (4)

  Solution:   If ‘n’ is a prime number, then √n  is an irrational number

2. Among 1/2, 1/3, 1/4, 1/5 the non-terminating decimal is

1/2, 1/3, 1/4, 1/5 అనే సంఖ్యలలో అంతం కాని దశాంశం

(1) 1/2          (2) 1/3      (3) 1/4       (4) 1/5

Answer: (2)

Solution:  A fraction in its simplest form has a terminating decimal if the prime factors of its denominator are only 2, 5, or both. If the denominator has any other prime factor, the result is a non-terminating repeating decimal.

3. The value of log625 (5)

log625 (5)యొక్క విలువ

(1) 1/2          (2) 1/4      (3) 1/3       (4) 1/5

Answer: (2)

Solution: let log625(5) =  x

                      5 = 625x

                      5 = (54)x

                      5 = 54x

                      1 = 4x

                       x = 1/4

4. √2 + √3 is

(1) Rational number           (2) Irrational number

(3) Prime number        (4) composite number

     √2 + √3 is అనునది ఒక

(1) అకరణీయ సంఖ్య              (2) కరణీయ సంఖ్య       (3) ప్రధాన సంఖ్య              (4) సంయుక్త  సంఖ్య

Answer: (2)

Solution:  √2 + √3 is an irrational number

5. HCF of 7, 8, 9 is

7, 8, 9  ల గా.సా.భా.

(1) 9          (2) 7        (3) 1       (4)  2

Answer: (3)

Solution:  factors of 7 = 1, 7

                    factors of 8 = 1, 2, 4, 8

                    factors of 9 = 1, 3, 0039

                    HCF 0f 7, 8, 9 = 1

 

TS POLYCET 2023 Question Paper Solutions


  Sets

1. If A={P, O, L, Y, T, E,C, H, N, I} and B = {E, X, A, M}then A∩B =

A={P, O, L, Y, T, E,C, H, N, I} మరియు  B = {E, X, A, M}అయితే, A∩B =

(1) {P}               (2) {E}                      (3) {X}                       (4) {T}

Answer: (2)

Solution:  Given A = {P, O, L, Y, T, E, C, H, N, I} and B = {E, X, A, M}

               A∩B = {P, O, L, Y, T, E, C, H, N, I}∩{E, X, A, M} = {E}

2. If A = {1, 2, 3, 4, 5} and B = {4, 5, 6, 7} then A – B =

A = {1, 2, 3, 4, 5} మరియు    B = {4, 5, 6, 7} అయితే, A – B =

(1) {1, 2, 3}         (2) {3, 4, 5}

 (3) {5, 6, 7}       (4) {2, 3, 4}

Answer: (1)

Solution:   Given A = {1, 2, 3, 4, 5} and B = {4, 5, 6, 7}

            A – B = {1, 2, 3, 4, 5} – {4, 5, 6, 7} = {1, 2, 3}


TS POLYCET 2023 Question Paper Solutions

TS POLYCET 2022 Solutions – Complete Questions Explained Simply


  Polynomials

1. Product of zeroes of polynomial 5x2 – 1 is

5x2 – 1 అనే వర్గ బహుపదీ శూన్యాల లబ్దము

(1) 1        (2) ½         (3) 1/5    (4) – 1/5

Answer: (4)

Solution:  Given polynomial is 5x2 – 1

                     Product of zeroes = c/a = – 1/5

2. (x + a) is a factor of f(x), if

(x + a)  అనేది f(x) యొక్క కారణాంకం అయినచో

  (1) f(a) = 0            (2) f(–a) = 0

   (3) f(1/a) = 0        (4) f(– 1/a) = 0

  Answer: (2)

  Solution:    Given (x + a) is a factor of f(x),then f(–a) = 0

3. If α, β are the zeroes of the quadratic polynomial ax2 + bx + c, a≠0, then α2 + β2 =

ax2 + bx + c, a≠0 అనే వర్గ బహుపది యొక్క శూన్యాలు α, β అయిన α2 + β2 =

(1)   TS POLYCET 2023 Question Paper Solution 1(b2 + 2ac)           (2) TS POLYCET 2023 Question Paper Solution 1 (c2 + 2ab)

(3) TS POLYCET 2023 Question Paper Solution 1(b2 – 2ac)             (4) TS POLYCET 2023 Question Paper Solution 1(c2 – 2ab)

   Answer: (2)

   Solution: Given polynomial is ax2 + bx + c, a≠0

α + β = – b/a

αβ = c/a

α2+ β2 = (α + β)2 – 2αβ

α2+ β2 = (– b/a)2 – 2(c/a)

α2+ β2 =  b2/a2 – 2c/a

α2+ β2TS POLYCET 2023 Question Paper Solution 1(b2 – 2ac)


  Linear equations in Two Variables

1. If 5x + py + 8 = 0 and 10x + 15y + 12 = 0 has no solution, then p =

5x + py + 8 = 0 మరియు 10x + 15y + 12 = 0 అను సమీకరణాలకు సాధన లేనిచో, p విలువ

(1) 15/2      (2) 13/2          (3) 7/2        (4) 5/2

Answer: (1)

Solution:   Given 5x + py + 8 = 0 and 10x + 15y + 12 = 0 have no solution

a1 = 5; b1 = p; c1 = 8

a2 = 10; b2 = 15; c2 = 12

TS POLYCET 2023 Question Paper Solution 2              

p = 15/2

2. If ax + b = 0 then x =

ax + b = 0 అయిన, x విలువ

(1) – a       (2) a     (3) b/a    (4) – b/a

Answer: (4)

Solution:    Given ax + b = 0

⟹ ax = – b

⟹ x = – b/a

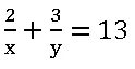
3. The solution of the system of equationsTS POLYCET 2023 Question Paper Solution 3 and TS POLYCET 2023 Question Paper Solution 4 is

TS POLYCET 2023 Question Paper Solution 3  మరియు TS POLYCET 2023 Question Paper Solution 4 సమీకరణాల సాధన

(1) (1/4, 1/3)     (2)  (1/3, 1/4)       (3) (1/2, 1/3)      (4) (1/3, 1/2)

Answer: (3)

Solution:  Given equations are  and

                    Let  = a and  = b

⟹2a + 3b= 13 and 5a – 4b = – 2

TS POLYCET 2023 Question Paper Solution 5

a = 46/23 = 2

2(2) + 3b= 13

4 + 3b= 13

4 + 3b = 13 – 4

3b= 9

b= 3

⟹ x = 1/2, y = 1/3

 

4. The line x = 7 is

 x = 7 అను  రేఖ

(1) Parallel to X – axis( X – అక్షమునకు సమాంతరము)

 (2) Parallel to Y-axis ( Y – అక్షమునకు సమాంతరము)

(3) Passes through origin ( మూల బిందువు గుండా పోతుంది)

 (4) Passes through (0, 7)  [ (0, 7) బిందువు గుండా పోతుంది]

    Answer: (2)

    Solution:  The line x = 7 is parallel to the Y–axis

5. The two lines 2x + 3y = 7, 8x + 12y = 1are ______ Lines.

2x + 3y = 7, 8x + 12y అను రేఖలు ____ రేఖలు

(1) Perpendicular (లంబ)    

(2) Parallel (సమాంతర)

 (3) Intersecting (ఖండన )

(4) None(ఏది కాదు)

 Answer: (2)

 Solution:  Given lines are 2x + 3y = 7, 8x + 12y = 1are have no solution

a1 = 2; b1 = 3; c1 = 7

a2 = 8; b2 = 12; c2 = 1

TS POLYCET 2023 Question Paper Solution 6              

Given lines are parallel


Quadratic Equations

1. If the equation 3x2 + 2x + k=0 has real roots then k is

3x2 + 2x + k=0 సమీకరణము వాస్తవ మూలాలు కలిగి ఉన్నచో k విలువ

(1) k < 1/3      (2) k > 1/3         (3) k ≤ 1/3         (4) k ≥1/3

     Answer: (3)

    Solution:  Given Equation is 3x2 + 2x + k=0

                   a = 3, b = 2,  c = k

The given equation has real roots

b2 – 4ac ≥ 0

22 – 4(3)(k) ≥ 0

4 – 12k ≥ 0

4(1 – 3k) ≥ 0

1 – 3k≥ 0

1 ≥3k

k ≤ 1/3

2. The condition a2 + bx + c = 0 to be a quadratic equation is

a2 + bx + c = 0 ఒక వర్గ సమీకరణము కావలెను అనిన నియమము ఏది?

(1) a ≠ 0, a, b, c∈ R                   (2) a = 0, b = 0, c ≠ 0

(3) a = 0, b ≠ 0, c ≠ 0             (4) a = b= c = 0

    Answer: (3)        

3. If the roots of the quadratic equation px² + qx + r = 0, are equal then q2 =

px² + qx + r = 0 వర్గ సమీకరణము యొక్క మూలాలు సమానమైన q2 =

(1) 2pr      (2) 3pr           (3) 4pr      (4) 8pr

Answer: (2)

Solution:  Roots of the quadratic equation px² + qx + r = 0 are equal

q2 – 4pr = 0 ⟹ q2 = 4pr

 

4. The sum of roots of the quadratic equation 3x²– 6x + 1=0 is

3x²– 6x + 1=0 వర్గ సమీకరణము యొక్క మూలాల మొత్తము

(1)   2       (2) 3± √6  (3) – 3         (4)  1/3

Answer: (1)

Solution:   Equation is 3x²– 6x + 1=0

                   a = 3, b = – 6,  c = 1

sum of l roots = – b/a = – (6)/3 =2

 


   Progressions

1. Find the 10th term of the AP 5, 1, 2, – 3, – 7,…… is

      5, 1, 2, – 3, – 7,…… అంక శ్రేడి యొక్క 10 వ పదం

(1) – 31                           (2)  31

(3)   – 27                           (4) – 35

Answer: (1)

Solution:  Given AP is 5, 1, 2, – 3, – 7,……

a = 5, d = 1 – 5 = – 4

10th term = a + 9d

= 5 + 9(– 4)

= 5 – 36

= – 31

 

2. If a, b, c are in GP, then a/b =

a, b, c లు గుణ శ్రేడి లో ఉన్నచో  a/b =

(1) b/c        (2) c/b          (3) b/a            (4) c/a

Answer: (1)

Solution:     Given a, b, c are in GP

a2/a1 = a3/a1

b/a = c/b

⟹ a/b = b/c

3. If the 2nd term and 5th term of a GP are 24, 81 then the r =

          గుణ శ్రేడి లో 2 వ పదం మరియు 5 వ పదం 24, 81అయితే  r =

 (1) 16           (2) 3         (3) 20         (4) 3/2

    Answer: (4)

   Solution:    Given a2 = 24, a5 = 81

ar = 24

 ar4 = 81

ar4/ar = 81/24

r3 = 27/8

r = 3/2

4. Which term of P. √3, 3, 3√3,………. is 729

√3, 3, 3√3,………. గుణశ్రేఢిలో ఉంటే  729 ఎన్నవ పదము  

(1) 10     (2) 12       (3) 14      (4) 16

Answer: (2)

Solution:   Given G.P is √3, 3, 3√3,…..

a = √3, r = 3/√3 = √3

an = 729

arn – 1  = 36

arn – 1  = 36

(√3) (√3)n – 1 = 36

(√3)n  = 36

(31/2)n  = 36

3n/2  = 36

n  = 12

12th term of the given G.P. is 729

5. The sum of first 100 natural numbers is

మొదటి 100 సహజ సంఖ్యల మొత్తము

(1) 2250     (2) 5100       (3) 5000      (4) 5050

     Answer: (4)

Solution:

We know that sum of first n natural number = [n(n + 1)]/2

sum of first 100 natural number = [100(100 + 1)]/2

= 50(101)

= 5050

 


Visit my YouTube channel: Click on the Logo

AS_Tutorioal_Png

Leave a Comment

Your email address will not be published. Required fields are marked *

Scroll to Top